还在愁毕设?海量项目源码免费送75350+基于springboot的仓库管理系统成品可直接使用,支持定制一对一开发
基于SpringBoot的仓库管理系统通过灵活的模块化设计,提供了完整的仓库信息管理和物流跟踪功能。系统通过员工与管理员两种角色权限管理,确保了仓库管理的高效与安全。员工可以进行入库、出库操作并查询相关记录,管理员则拥有更广泛的权限,包括仓库信息管理、角色管理和数据分析等。系统在入库与出库操作时,自动更新库存数量,确保数据的准确性和及时性。管理员还可以通过各类统计图表实时监控仓库运营情况,有效提高
目 录
摘 要
基于SpringBoot的仓库管理系统通过灵活的模块化设计,提供了完整的仓库信息管理和物流跟踪功能。系统通过员工与管理员两种角色权限管理,确保了仓库管理的高效与安全。员工可以进行入库、出库操作并查询相关记录,管理员则拥有更广泛的权限,包括仓库信息管理、角色管理和数据分析等。系统在入库与出库操作时,自动更新库存数量,确保数据的准确性和及时性。管理员还可以通过各类统计图表实时监控仓库运营情况,有效提高管理效率。
此外,系统还涵盖了供应商和客户的登记功能,确保物料供应链的顺畅。通过对物品类型和仓库位置的管理,平台能够灵活应对不同种类和数量的物品存储需求。平台具备强大的搜索、查询、修改等功能,帮助用户快速查找到所需信息,优化仓库资源利用率。系统还提供了通知公告模块,确保员工及时获取最新的通知和公告信息。整体而言,该系统为仓库管理提供了高效、智能的解决方案。
关键词:SpringBoot;仓库管理;物流跟踪。
The warehouse management system based on SpringBoot provides complete warehouse information management and logistics tracking functions through flexible modular design. The system ensures efficient and secure warehouse management through two roles of employee and administrator permission management. Employees can perform inbound and outbound operations and query related records, while administrators have broader permissions, including warehouse information management, role management, and data analysis. The system automatically updates the inventory quantity during inbound and outbound operations to ensure the accuracy and timeliness of the data. Administrators can also monitor warehouse operations in real-time through various statistical charts, effectively improving management efficiency.
In addition, the system also includes registration functions for suppliers and customers to ensure smooth material supply chain. By managing the types of items and warehouse locations, the platform can flexibly respond to storage needs for different types and quantities of items. The platform has powerful search, query, and modification functions to help users quickly find the information they need and optimize warehouse resource utilization. The system also provides a notification and announcement module to ensure that employees receive the latest notifications and announcement information in a timely manner. Overall, the system provides an efficient and intelligent solution for warehouse management.
Key words: SpringBoot; Warehouse management; logistics tracking.
- 绪 论
- 研究背景及意义
随着经济的快速发展和企业规模的不断扩大,仓库管理逐渐成为现代企业运营中至关重要的一部分。传统的手工管理方式不仅效率低下,而且容易出现数据错误、信息滞后等问题,导致库存管理难度加大,影响了企业的运营效率和资金流转。因此,开发一套高效、智能的仓库管理系统显得尤为必要。
基于SpringBoot的仓库管理系统为企业提供了一种更加高效、便捷的管理方式。该系统利用SpringBoot框架的轻量级特性,能够快速搭建、部署,具有较强的扩展性和可维护性。系统能够自动更新库存数据、管理仓库信息并进行实时查询,显著提升了仓库管理的效率,降低了人为错误的发生。通过集成多种功能,企业能够对库存进行全方位监控,为决策层提供数据支持,有助于优化资源配置、提高运营效益。
在实际应用中,系统不仅提升了仓库管理的精确性和透明度,还为企业节省了大量的人力和时间成本。通过精准的库存控制和供应链管理,企业能够更加灵活地应对市场变化,从而提高整体竞争力和可持续发展能力。
在国外,仓库管理系统的发展早期主要集中于硬件设备和传统的库存管理技术上,但随着信息技术的进步,基于软件平台的仓库管理系统逐渐取代了传统方式,成为企业运营的核心。许多发达国家的企业采用了高度自动化和智能化的仓库管理解决方案,这些系统不仅能够进行库存实时监控,还能自动生成报告、预测需求,帮助企业做出更为精确的决策。国外许多仓库管理系统还在持续进行优化,功能不断完善。例如,WMS(Warehouse Management System)系统在全球范围内得到了广泛应用,成为物流领域的标准系统之一,其集成了条形码扫描、RFID等技术,显著提高了物流和库存的管理效率。同时,许多国外企业开始采用基于云计算的仓库管理系统,使得信息存储、处理、共享更加便捷,为跨地域的企业提供了更加灵活和高效的仓储解决方案。
在国内,随着互联网技术和大数据的快速发展,许多企业开始引入现代化的仓库管理系统。国内的仓库管理系统通常结合了ERP(企业资源计划)系统,对供应链、库存和物流进行集成管理。相比国外,国内企业的仓库管理系统起步稍晚,但近年来,越来越多的企业开始重视信息化管理,推动了仓库管理软件的快速发展。尤其是一些大型电商平台和物流企业,已经开始在仓库管理上实现自动化和数字化,逐步向智能化方向发展。同时,一些国内的技术公司也在不断研发适合中国市场的仓库管理解决方案,这些系统具备了实时数据处理和跨平台兼容的特点,能够根据不同企业的需求提供定制化的服务。国内市场对智能仓库管理系统的需求日益增加,且系统的集成度、可扩展性和技术创新也在逐步提高。
总体来看,国内外的仓库管理系统都朝着高效、智能化的方向发展。国外已经进入了系统高度集成和自动化的阶段,而国内则处于快速追赶和适应的过程,整体水平逐渐向国际接轨。随着市场对智能仓储的需求增多,未来的仓库管理系统将更注重系统的灵活性、可操作性以及数据处理的精准度,为企业提供更强大的支持。
本论文共分为七个主要章节,具体结构如下:
1. 绪论:介绍研究背景与意义,回顾国内外研究现状,并概述论文的组织结构。
2. 相关技术介绍:详细介绍与本研究相关的技术,包括Java语言、B/S框架、SpringBoot框架、MVC框架、Vue技术和MySQL数据库。
3. 需求分析:对系统的功能需求和非功能需求进行分析,明确用户和管理员的需求,并进行可行性分析,包括技术、操作和经济可行性。
4. 系统设计:涵盖系统架构设计、系统模块设计,并进行数据库的概念设计与表设计。
5. 系统实现:具体描述各个功能模块的实现过程,展示系统如何根据需求进行开发。
6. 系统测试:阐述测试的目的,分析测试结果并得出结论,以验证系统的稳定性和功能完整性。
7. 总结:总结研究的主要成果和贡献,指出存在的不足及未来的研究方向。
从技术可行性角度审视,所采纳的技术完全符合当前应用需求。B/S架构展现了卓越的跨平台性能,通过浏览器端的呈现和服务器端的处理,实现了在多种操作系统和设备上的无缝连接。得益于成熟的Spring生态系统,SpringBoot框架的自动配置功能降低了开发与部署的复杂性,推动了高效开发和微服务架构的形成。作为前端技术的Vue.js,其数据绑定和虚拟DOM的优化,使得构建和维护大规模应用更为高效。MySQL数据库在数据存储和查询优化方面表现出色,其ACID事务特性和高并发支持确保了数据的一致性和系统的稳定性,且在众多行业中得到广泛应用,具有良好的可扩展性和高效性。
在成本与效益的平衡上,我们选择了免费的开源技术,有效减少了开发和部署的费用。利用B/S架构的优势,我们减少了对客户端软件安装和更新的需求,从而减轻了IT部门的维护负担。采用SpringBoot框架,简化了配置流程并实现了自动部署,这进一步缩短了开发和运营的时间。引入Vue.js加快了开发进程,降低了对前端开发人员的依赖。作为开源数据库的MySQL,不仅节省了授权成本,而且其高效的查询和事务处理能力在保证性能的同时,减少了对硬件资源的需求,推动了资源的有效利用。
在可行性实施方面,所采纳的技术均具备详实的文档资料和庞大的开发者社区支持。执行基于B/S架构的项目,依赖于众多网络技术,技术架构稳定,操作流程标准化,便于企业级应用的迅速部署与维护。SpringBoot框架简化了Spring应用的配置与开发流程,内置了嵌入式Web服务器,让开发者能够迅速启动项目,降低了对开发和部署环境的依赖性。Vue.js采纳了组件化的设计理念,大幅提升了前端开发的效率和代码的可复用性,操作简易。MySQL数据库提供了易于操作的用户界面,界面清晰,兼容多种操作系统,适合日常的数据库管理与维护任务。
-
- 非功能性需求分析
1.可用性需求
系统需具备极佳的稳定性,确保在各种使用环境下都能顺畅运作。为了达到稳定性标准,系统应配备自动修复与备份功能,防止因单一故障点而造成服务暂停。具体来说,系统架构设计应采用负载均衡与集群方式,多个实例共同工作以提升系统整体的稳定性。同时,系统内应集成完整的监控与警报系统,实时监控运行状况,快速识别潜在问题并自动进行修复或通知管理员。在用户体验方面,系统应提供明确的错误提示,并在出现异常时通过回滚或其他容错措施,确保用户操作的连续性不受干扰。
2.可靠性需求
为了保障系统稳定运行,其必须在持续运作期间维持性能稳定,能够有效处理各种潜在的故障和负载情况。在设计环节,应选用支持高可用性的数据库架构,采用主从复制、数据分片等技术确保数据的稳定存储与访问。在应用层面,系统应具备故障恢复功能,即便遭遇硬件故障、网络中断等突发状况,也能保障服务的连续性或在问题解决后迅速恢复数据和业务流程。系统还应具备日志记录功能,详细记录操作过程和异常事件,为问题追踪和系统优化提供关键数据。此外,系统的可靠性需要通过压力测试和稳定性测试来验证,以确保在大量用户访问和高并发环境下系统能够稳定运行,避免系统崩溃或数据丢失。
3.安全性需求
确保系统和用户数据的保密性、完整性和可用性至关重要,因此必须对系统的安全需求给予高度关注。为了保障数据安全,系统应实施加密技术,特别是在用户认证、敏感数据传输和存储环节,利用SSL/TLS协议进行加密通信,以避免数据在传输过程中遭受窃听或篡改。系统必须具备用户身份验证和授权管理功能,采用OAuth、JWT等安全机制,以阻止未授权的访问。访问控制应细化至资源层面,确保用户仅能访问其权限内的功能。为了抵御恶意攻击,系统还应强化对SQL注入、XSS攻击、CSRF攻击等常见攻击的防护,通过输入验证、输出转义、会话管理等技术手段提升系统安全性。系统应定期执行安全审计和漏洞扫描,及时发现并修复潜在的安全漏洞,确保系统长期安全稳定地运行。
前端员工用户模块:
注册登录: 用户注册后,管理员需要进行审核才能批准用户的登录权限。注册时,员工需要填写基本的个人信息,管理员审核通过后,员工方可登录系统。
首页: 首页展示平台的核心功能,包括轮播图、导航栏、资讯信息、仓库信息推荐等内容,用户可以通过首页浏览系统的最新资讯、推荐内容,并进行快速搜索,查找需要的仓库信息或资讯。
通知公告: 员工可以查看网站发布的公告信息,包括“关于我们”、联系方式、网站介绍以及最新发布的通知。公告为员工提供系统的最新动态和平台通知,确保员工及时掌握重要信息。
资讯信息: 员工可以查看仓库资讯,包括仓库的详细信息、分类信息,以及平台内的热门资讯和最新发布内容。员工可以通过系统进行搜索、点赞、收藏、评论和回复等互动操作。
仓库信息: 员工可以查看仓库和物流的详细信息,包括物品的贮存位置、物品编号、物品名称、物品类型、库存数量等。员工可以搜索相关信息并参与点赞、收藏、评论、回复等互动操作。系统还支持入库和出库登记,但入库操作必须经管理员审核后才能确认入库,库存数量自动累计,出库时库存会相应减少。
供应商登记: 员工可以登记供应商信息,输入供应商名称、电话、地址、负责人以及供应范围进行提交,以便系统进行供应商管理。
客户登记: 员工可以登记客户信息,输入客户名称、电话、地址、负责人和营业范围进行提交,用于客户管理和后续操作。
个人中心: 员工可以管理个人资料,包括查看和更新个人信息、头像、密码等,确保账户的安全和个性化设置。
个人首页: 员工可以在个人首页查看和管理与仓库信息、入库和出库记录相关的统计图表,如仓库信息统计的柱状图、入库记录和出库记录的折线图,并且可以查看自己负责的出库入库记录。
入库登记: 员工可以进行入库操作,查看入库记录的详情,支持信息查询、搜索、重置和删除等功能。每次入库操作都需要管理员审核后确认入库,系统会自动更新库存数量。
入库记录: 员工可以查看详细的入库记录,支持搜索、查询、重置等功能,便于跟踪和管理仓库中的物品流动。
出库登记: 员工可以进行出库操作,查看出库记录的详细信息,支持信息查询、搜索、重置和删除等功能。每次出库操作需要管理员审核,并确认出库后,系统会自动减少库存数量。
出库记录: 员工可以查看详细的出库记录,便于了解物品的出库情况。此功能包括记录查询、搜索、重置、删除等管理操作。
物流登记: 员工可以查看物流详情,包括搜索查询物流状态和物流运输定位,确保物品能够按时运输到指定位置。
供应商: 员工可以查看和管理供应商信息,支持搜索、查询、重置、添加和删除操作,确保供应商信息的完整性和准确性。
客户信息: 员工可以查看和管理客户信息,支持搜索、查询、重置、添加和删除操作,以便更好地进行客户关系管理。
收藏: 员工可以查看和管理自己收藏的资讯和信息内容,删除不再感兴趣的内容,确保个人收藏夹的整洁。
个人账户: 员工可以修改个人资料、头像、密码、昵称等个人信息,确保账户信息的安全性和个性化设置。
修改密码: 员工可以修改登录密码,确保账号的安全性。密码修改需要通过原密码验证,并设置新的安全密码。
退出: 员工可以选择退出系统,结束当前的登录状态,确保账户的安全性。
后端管理员模块:
登录: 管理员通过提供账号和密码登录系统后台,获取对平台管理的权限。管理员登录后可以对系统进行全面的管理和操作。
数据分析: 管理员可以修改个人资料、密码,退出系统。管理员可以查看轮播图、公告数、仓库信息统计、入库记录统计、出库记录统计等各类统计图表,便于及时了解系统的整体运行状况。
角色管理: 管理员可以查看、添加、审核和删除员工用户。管理员有权限对员工用户的账号进行管理,包括查询、搜索和重置密码等操作。
仓库信息管理: 管理员可以查看和修改仓库信息,包括仓库的贮存位置和相关评论。管理员有权限添加、删除、重置和查询仓库信息,确保仓库信息的准确性。库存数量低于10时,系统会自动进行预警提醒。
物品类型管理: 管理员可以查看和管理物品的分类信息。管理员可以添加、删除和修改物品类型,确保物品分类的准确性和规范性。
位置信息管理: 管理员可以查看和管理仓库的贮存位置信息。管理员可以添加、修改和删除贮存位置,确保仓库空间的有效利用和物品的合理分配。
入库登记管理: 管理员可以查看并审核入库登记,确认入库后系统会自动更新库存数量。管理员还可以查询、重置和删除入库记录,确保入库流程的合规性和准确性。
入库记录管理: 管理员可以查看和管理所有入库记录,支持搜索、查询、重置、删除等操作,确保入库信息的完整和准确。
出库登记管理: 管理员可以查看并审核出库登记,确认出库操作并自动减少库存数量。管理员还可以对出库记录进行查询、重置、删除等管理操作。
出库记录管理: 管理员可以查看所有出库记录,并安排物流登记。管理员可搜索、查询、重置和删除出库记录,并追踪物流状态及定位物品的运输情况。
物流登记管理: 管理员可以查看和管理物流登记的详细信息,支持查询、重置和删除操作,确保物流信息的及时更新和准确性。
供应商管理: 管理员可以查看、添加、删除和修改供应商信息,确保供应商数据库的完整性。管理员还可以进行供应商信息的搜索和查询。
客户信息管理: 管理员可以查看和管理客户信息,支持添加、删除、查询、重置等操作,确保客户信息的准确性和及时更新。
系统管理: 系统管理模块包括对轮播图、敏感词、公告等进行管理。管理员可以添加、删除、重置和查询轮播图、公告等系统资源,确保系统信息展示的规范性和准确性。
通知公告管理: 管理员可以查看、添加和删除通知公告,确保平台的最新通知能够及时传达给所有员工用户。管理员还可以对公告内容进行搜索和查询操作。
新闻管理: 管理员可以管理平台的资讯信息,支持查看、添加、删除、修改新闻内容,并进行信息分类管理。管理员还可以对新闻进行搜索、查询等管理操作,确保资讯的及时更新与展示。
仓库管理系统的完整UML用例图分别是图2-1、2-2。
员工用户角色用例如下图所示。
-
-
-
-
- 仓库管理系统员工用户角色用例图
-
-
-
(1)注册与登录:
员工用户可以注册账号并登录系统,进行个人信息管理与仓库操作,其详细信息如表2-1所示。
|
用例名称 |
注册与登录 |
|
用例编号 |
GY01 |
|
参与者 |
员工 |
|
用例描述 |
员工注册账号后,管理员审核通过后可登录系统,进行操作。 |
|
前置条件 |
员工已提交注册信息,管理员尚未审核。 |
|
后置条件 |
员工账号审核通过后,可以登录系统并使用相应功能。 |
|
基本事件流 |
员工提交注册信息,管理员审核通过后,员工可使用账号登录系统。 |
|
扩展流程 |
如果管理员未通过审核,员工将无法登录系统。 |
|
结论 |
员工能够完成注册和登录操作,管理员审核确保用户信息合规。 |
(2)首页浏览:
员工用户可以浏览系统首页,查看轮播图、导航栏、资讯信息等,快速找到所需的内容,其详细信息如表2-2所示。
|
用例名称 |
首页浏览 |
|
用例编号 |
GY02 |
|
参与者 |
员工 |
|
用例描述 |
员工可以浏览系统首页,查看轮播图、推荐内容及最新资讯。 |
|
前置条件 |
员工已成功登录系统。 |
|
后置条件 |
员工成功浏览平台首页并获取最新信息。 |
|
基本事件流 |
员工登录系统后,访问首页,查看系统展示的内容。 |
|
扩展流程 |
员工可以通过导航栏或搜索框快速跳转到其他功能模块。 |
|
结论 |
员工能够方便快捷地浏览平台首页,获取有用的系统信息。 |
(3)个人信息管理:
员工可以在个人中心管理自己的账户信息,如修改密码、更新个人资料等,其详细信息如表2-3所示。
|
用例名称 |
个人信息管理 |
|
用例编号 |
GY03 |
|
参与者 |
员工 |
|
用例描述 |
员工可以修改个人信息,包括密码、头像、昵称等。 |
|
前置条件 |
员工已成功登录系统。 |
|
后置条件 |
员工的个人信息已更新并保存。 |
|
基本事件流 |
员工登录系统后,进入个人中心,修改个人资料。 |
|
扩展流程 |
员工修改密码时需要通过原密码验证。 |
|
结论 |
员工能够管理自己的账户信息,确保信息的安全性和个性化设置。 |
(4)仓库信息查看:
员工可以查看仓库的详细信息,包括物品的存储位置、库存数量、物品类型等,并能进行操作,如点赞、收藏等,其详细信息如表2-4所示。
|
用例名称 |
仓库信息查看 |
|
用例编号 |
GY04 |
|
参与者 |
员工 |
|
用例描述 |
员工可以查看仓库的物品信息,包括存储位置、库存数量等。 |
|
前置条件 |
员工已成功登录系统。 |
|
后置条件 |
员工成功查看并了解所需仓库信息。 |
|
基本事件流 |
员工在系统中查看仓库的物品详情,进行相关操作。 |
|
扩展流程 |
员工可以点赞、收藏或评论仓库信息,与其他用户互动。 |
|
结论 |
员工能够有效地查看仓库信息,便于工作决策。 |
(5)入库操作:
员工可以进行入库登记操作,输入入库物品信息,但需要管理员审核确认后,库存数量会自动更新,其详细信息如表2-5所示。
|
用例名称 |
入库操作 |
|
用例编号 |
GY05 |
|
参与者 |
员工 |
|
用例描述 |
员工可以进行物品的入库登记,提交入库信息,管理员审核通过后库存更新。 |
|
前置条件 |
员工已登录系统,并有物品需要入库。 |
|
后置条件 |
入库信息已提交并待管理员审核,库存量更新。 |
|
基本事件流 |
员工填写物品入库信息,提交系统,待管理员审核后确认入库。 |
|
扩展流程 |
入库信息若不符合规定,管理员可拒绝入库并要求修改。 |
|
结论 |
员工能够提交入库操作,库存管理流程经过管理员审核确保合规性。 |
(6)出库操作:
员工可以进行物品的出库登记操作,提交信息后需要管理员审核确认,库存会自动减少,其详细信息如表2-6所示。
|
用例名称 |
出库操作 |
|
用例编号 |
GY06 |
|
参与者 |
员工 |
|
用例描述 |
员工可以进行物品的出库登记,提交信息,管理员审核通过后库存减少。 |
|
前置条件 |
员工已登录系统,并有物品需要出库。 |
|
后置条件 |
出库记录已提交并待管理员审核,库存减少。 |
|
基本事件流 |
员工填写物品出库信息并提交,待管理员审核确认后减少库存。 |
|
扩展流程 |
出库信息若有问题,管理员可拒绝出库并标记为待处理。 |
|
结论 |
员工能够提交出库操作,管理员审核确保出库信息的合规性。 |
(7)物流信息查询:
员工可以查询物流信息,查看运输过程和物品的配送状态,其详细信息如表2-7所示。
|
用例名称 |
物流信息查询 |
|
用例编号 |
GY07 |
|
参与者 |
员工 |
|
用例描述 |
员工可以查询物流信息,查看物品的运输状态及位置。 |
|
前置条件 |
员工已登录系统,且物流信息已录入。 |
|
后置条件 |
员工成功查询并了解物流状态。 |
|
基本事件流 |
员工输入相关信息进行物流查询,查看物品运输状态。 |
|
扩展流程 |
员工可以根据物流状态进行后续操作,如催促、标记等。 |
|
结论 |
员工能够实时查询物流信息,确保运输过程的透明性和准确性。 |
管理员角色用例如下图所示。
-
-
-
-
- 仓库管理系统管理员角色用例图
-
-
-
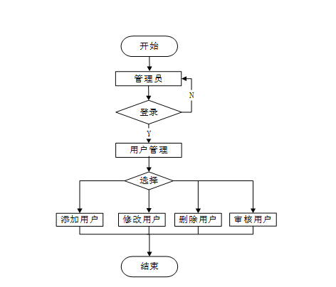
(1)用户管理:
管理员可以管理员工的账户信息,包括查看、修改、删除用户账户等操作,其详细信息表如表2-8所示。
|
用例名称 |
用户管理 |
|
用例编号 |
XS01 |
|
参与者 |
管理员 |
|
用例描述 |
管理员可以管理注册员工的账户信息,包括查看、修改、删除用户账户等操作。 |
|
前置条件 |
管理员已成功登录后台系统。 |
|
后置条件 |
管理员已成功更新用户账户信息。 |
|
基本事件流 |
管理员登录后台系统并对选定员工进行修改或删除操作。 |
|
扩展流程 |
若账户异常,管理员可禁用或删除账户。 |
|
结论 |
管理员能够有效管理用户账户,确保系统数据的准确性。 |
(2)仓库信息管理:
管理员可以管理仓库的详细信息,包括物品存储位置、物品类型、库存数量等,其详细信息如表2-9所示。
|
用例名称 |
仓库信息管理 |
|
用例编号 |
XS02 |
|
参与者 |
管理员 |
|
用例描述 |
管理员可以查看和修改仓库信息,包括仓库的存储位置、物品类别、库存数量等。 |
|
前置条件 |
管理员已成功登录后台系统。 |
|
后置条件 |
仓库信息已更新并显示在平台上。 |
|
基本事件流 |
管理员登录后台系统,更新仓库信息。 |
|
扩展流程 |
若库存低于预警值,系统自动提醒管理员补充库存。 |
|
结论 |
管理员能够有效管理仓库信息,确保库存的准确性和及时性。 |
(3)入库记录管理:
管理员可以查看和审核所有的入库记录,确保入库信息的合规性,其详细信息如表2-10所示。
|
用例名称 |
入库记录管理 |
|
用例编号 |
XS03 |
|
参与者 |
管理员 |
|
用例描述 |
管理员可以查看和管理所有入库记录,确保入库流程的合规性。 |
|
前置条件 |
入库操作已提交且待审核。 |
|
后置条件 |
入库记录已审核并确认更新库存。 |
|
基本事件流 |
管理员审核入库记录并确认入库操作,系统自动更新库存。 |
|
扩展流程 |
若入库记录有误,管理员可以拒绝入库并标记为待处理。 |
|
结论 |
管理员能够确保入库记录的准确性,并保障库存管理流程的合规性。 |
(4)出库记录管理:
管理员可以查看和审核所有的出库记录,确保出库信息的准确性,其详细信息如表2-11所示。
|
用例名称 |
出库记录管理 |
|
用例编号 |
XS04 |
|
参与者 |
管理员 |
|
用例描述 |
管理员可以查看和管理所有出库记录,确保出库流程的合规性。 |
|
前置条件 |
出库操作已提交且待审核。 |
|
后置条件 |
出库记录已审核并确认减少库存。 |
|
基本事件流 |
管理员审核出库记录并确认出库操作,系统自动减少库存。 |
|
扩展流程 |
若出库记录有误,管理员可以拒绝出库并标记为待处理。 |
|
结论 |
管理员能够确保出库记录的准确性,避免库存误差。 |
(5)通知公告管理:
管理员可以查看、发布和删除平台的通知公告,确保员工及时收到平台的通知,其详细信息如表2-12所示。
|
用例名称 |
通知公告管理 |
|
用例编号 |
XS05 |
|
参与者 |
管理员 |
|
用例描述 |
管理员可以查看、发布和删除通知公告,确保所有员工都能及时收到最新的通知。 |
|
前置条件 |
管理员已登录后台系统。 |
|
后置条件 |
公告已发布并可供员工查看。 |
|
基本事件流 |
管理员发布公告并更新平台通知。 |
|
扩展流程 |
若有紧急通知,管理员可快速发布公告以通知所有员工。 |
|
结论 |
管理员能够有效管理平台公告,确保员工及时获取最新的公司动态和通知。 |
(6)物流登记管理:
管理员可以管理物流登记的信息,包括物流状态和运输定位,其详细信息如表2-13所示。
|
用例名称 |
物流登记管理 |
|
用例编号 |
XS06 |
|
参与者 |
管理员 |
|
用例描述 |
管理员可以查看和管理物流登记的信息,确保运输过程的实时更新与跟踪。 |
|
前置条件 |
物流信息已录入系统并待确认。 |
|
后置条件 |
物流信息已更新并展示最新状态。 |
|
基本事件流 |
管理员查看并更新物流信息,确保物品运输状态的准确性。 |
|
扩展流程 |
若物流信息出现异常,管理员可标记并追踪物流状态。 |
|
结论 |
管理员能够确保物流信息的及时更新,并追踪物品运输状态,确保配送的准确性。 |
系统开发流程的主要步骤,从需求分析到系统完成的全过程。流程包括需求分析、总体设计(结构、功能、数据)、详细设计(模块、编码)、模块整合与调用,以及测试、扩展和完善,最终完成系统的开发。本系统的开发流程如下图所示

-
-
-
-
- 系统开发流程图
-
- 用户登录流程
-
-
用户输入用户名和密码后,系统先检查输入是否为空,再验证用户名是否存在,若存在则通过用户名获取密码并校验。若密码正确则登录成功,否则提示密码错误。若用户名不存在或无法登录,提示用户操作无效。如下图所示。
-
-
-
-
- 登录流程图
-
- 系统操作流程
-
-
用户首先进入系统登录界面,输入用户名和密码后,系统验证信息是否正确。若验证失败,返回登录界面重新输入,若验证成功,则进入功能界面,执行相应功能处理后结束操作流程。操作流程如下图所示。

-
-
-
-
- 系统操作流程图
-
- 添加信息流程
-
-
管理员可以添加信息,用户添加可以自己权限内的信息,输入信息后,要想利用这个软件来进行系统的安全管理,首先需要登录到该软件中。添加信息流程如下图所示。

-
-
-
-
- 添加信息流程图
-
-
-
用户首先选择需要修改的记录,输入修改后的数据,系统判断输入数据是否合法。若数据不合法,提示重新输入,若数据合法,则将修改后的数据写入数据库,完成操作后流程结束。修改信息流程图如下图所示。

-
-
-
-
- 修改信息流程图
-
- 删除信息流程
-
-
用户选择需要删除的记录后,系统判断是否确认删除。若未确认,返回选择环节,若确认删除,则更新数据库,删除对应记录,完成操作后流程结束。删除信息流程图如下图所示。

-
-
-
-
- 删除信息流程图
-
-
-
当用户登录系统的时候,浏览仓库信息,查看详情并生成入库/出库信息,管理员在后端处理信息。员工用户入库/出库登记仓库操作流程如图下所示。
-
-
-
-
- 操作流程图
-
-
-
- 总体设计
本章主要讨论的内容包括仓库管理系统的系统结构设计、功能模块设计、数据库系统设计。
本系统采用SpringBoot框架构建,包括VIEW层、Controller层、Model层、DAO层以及数据持久化存储层。VIEW层支持电脑浏览器,与Controller层紧密集成,展示前台页面数据;Controller层作为核心控制,处理前端请求参数并执行业务逻辑,输出路径或数据;Model层专注于服务功能,处理业务逻辑;DAO层和数据持久化层则负责数据库访问和数据持久化存储[9]。整个系统架构如图下所示。

-
-
-
-
- 系统架构图
-
-
- 系统模块设计
-
在上一章节中主要对系统的功能性需求和非功能性需求进行分析,并且根据需求分析了本仓库管理系统中的用例。那么接下来就要开始对本仓库管理系统的架构、主要功能和数据库开始进行设计。仓库管理系统根据前面章节的需求分析得出,仓库管理系统的功能模块图如下图所示。

-
-
-
-
- 仓库管理系统功能模块图
-
-
- 数据库设计
-
数据库设计一般包括需求分析、概念模型设计、数据库表建立三大过程,其中需求分析前面章节已经阐述,概念模型设计有概念模型和逻辑结构设计两部分。
-
-
- 数据库概念结构设计
-
下面是整个仓库管理系统中主要的数据库表总E-R实体关系图。

-
-
-
-
- 仓库管理系统总E-R关系图
-
- 数据库逻辑结构设计
-
-
通过上一小节中仓库管理系统中总E-R关系图上得出一共需要创建多个数据表。在此主要罗列几个主要的数据库表结构设计。
表 3-1-employee_user(员工用户)
|
编号 |
字段名 |
类型 |
长度 |
是否非空 |
是否主键 |
注释 |
|
1 |
employee_user_id |
int |
是 |
是 |
员工用户ID |
|
|
2 |
employee_work_number |
varchar |
64 |
是 |
是 |
员工工号 |
|
3 |
employee_name |
varchar |
64 |
否 |
否 |
员工姓名 |
|
4 |
examine_state |
varchar |
16 |
是 |
否 |
审核状态 |
|
5 |
user_id |
int |
是 |
否 |
用户ID |
|
|
6 |
create_time |
datetime |
是 |
否 |
创建时间 |
|
|
7 |
update_time |
timestamp |
是 |
否 |
更新时间 |
表 3-2-issue_registration(出库登记)
|
编号 |
字段名 |
类型 |
长度 |
是否非空 |
是否主键 |
注释 |
|
1 |
issue_registration_id |
int |
是 |
是 |
出库登记ID |
|
|
2 |
issue_number |
varchar |
64 |
否 |
否 |
出库编号 |
|
3 |
item_number |
varchar |
64 |
否 |
否 |
物品编号 |
|
4 |
item_name |
varchar |
64 |
否 |
否 |
物品名称 |
|
5 |
item_type |
varchar |
64 |
否 |
否 |
物品类型 |
|
6 |
item_specifications |
varchar |
64 |
否 |
否 |
物品规格 |
|
7 |
storage_position |
varchar |
64 |
否 |
否 |
贮存位置 |
|
8 |
registration_personnel |
int |
否 |
否 |
登记人员 |
|
|
9 |
employee_work_number |
varchar |
64 |
否 |
否 |
员工工号 |
|
10 |
employee_name |
varchar |
64 |
否 |
否 |
员工姓名 |
|
11 |
customer_name |
varchar |
64 |
否 |
否 |
客户名称 |
|
12 |
customer_phone |
varchar |
64 |
是 |
否 |
客户电话 |
|
13 |
customer_address |
varchar |
64 |
是 |
否 |
客户地址 |
|
14 |
quantity_of_issue |
double |
否 |
否 |
出库数量 |
|
|
15 |
unit_price_of_issue |
double |
否 |
否 |
出库单价 |
|
|
16 |
issue_date |
date |
否 |
否 |
出库日期 |
|
|
17 |
outbound_remarks |
text |
65535 |
否 |
否 |
出库备注 |
|
18 |
examine_state |
varchar |
16 |
是 |
否 |
审核状态 |
|
19 |
examine_reply |
varchar |
255 |
否 |
否 |
审核回复 |
|
20 |
outbound_record_limit_times |
int |
是 |
否 |
确认出库限制次数 |
|
|
21 |
create_time |
datetime |
是 |
否 |
创建时间 |
|
|
22 |
update_time |
timestamp |
是 |
否 |
更新时间 |
|
|
23 |
source_table |
varchar |
255 |
否 |
否 |
来源表 |
|
24 |
source_id |
int |
否 |
否 |
来源ID |
|
|
25 |
source_user_id |
int |
否 |
否 |
来源用户 |
表 3-3logistics_registration(物流登记)
|
编号 |
字段名 |
类型 |
长度 |
是否非空 |
是否主键 |
注释 |
|
1 |
logistics_registration_id |
int |
是 |
是 |
物流登记ID |
|
|
2 |
issue_number |
varchar |
64 |
否 |
否 |
出库编号 |
|
3 |
item_number |
varchar |
64 |
否 |
否 |
物品编号 |
|
4 |
item_name |
varchar |
64 |
否 |
否 |
物品名称 |
|
5 |
item_type |
varchar |
64 |
否 |
否 |
物品类型 |
|
6 |
item_specifications |
varchar |
64 |
否 |
否 |
物品规格 |
|
7 |
storage_position |
varchar |
64 |
否 |
否 |
贮存位置 |
|
8 |
registration_personnel |
int |
否 |
否 |
登记人员 |
|
|
9 |
employee_work_number |
varchar |
64 |
否 |
否 |
员工工号 |
|
10 |
employee_name |
varchar |
64 |
否 |
否 |
员工姓名 |
|
11 |
customer_name |
varchar |
64 |
否 |
否 |
客户名称 |
|
12 |
customer_phone |
varchar |
64 |
是 |
否 |
客户电话 |
|
13 |
customer_address |
varchar |
64 |
是 |
否 |
客户地址 |
|
14 |
quantity_of_issue |
double |
否 |
否 |
出库数量 |
|
|
15 |
unit_price_of_issue |
double |
否 |
否 |
出库单价 |
|
|
16 |
issue_date |
date |
否 |
否 |
出库日期 |
|
|
17 |
issue_amount |
varchar |
64 |
否 |
否 |
出库金额 |
|
18 |
logistics_status |
varchar |
64 |
否 |
否 |
物流状态 |
|
19 |
location_address |
varchar |
64 |
否 |
否 |
当前位置 |
|
20 |
location_lng |
varchar |
64 |
否 |
否 |
当前位置经度 |
|
21 |
location_lat |
varchar |
64 |
否 |
否 |
当前位置纬度 |
|
22 |
create_time |
datetime |
是 |
否 |
创建时间 |
|
|
23 |
update_time |
timestamp |
是 |
否 |
更新时间 |
|
|
24 |
source_table |
varchar |
255 |
否 |
否 |
来源表 |
|
25 |
source_id |
int |
否 |
否 |
来源ID |
|
|
26 |
source_user_id |
int |
否 |
否 |
来源用户 |
表 3-4-receipt_registration(入库登记)
|
编号 |
字段名 |
类型 |
长度 |
是否非空 |
是否主键 |
注释 |
|
1 |
receipt_registration_id |
int |
是 |
是 |
入库登记ID |
|
|
2 |
receipt_no |
varchar |
64 |
否 |
否 |
入库编号 |
|
3 |
item_number |
varchar |
64 |
否 |
否 |
物品编号 |
|
4 |
item_name |
varchar |
64 |
否 |
否 |
物品名称 |
|
5 |
item_type |
varchar |
64 |
否 |
否 |
物品类型 |
|
6 |
item_specifications |
varchar |
64 |
否 |
否 |
物品规格 |
|
7 |
storage_position |
varchar |
64 |
否 |
否 |
贮存位置 |
|
8 |
registration_personnel |
int |
否 |
否 |
登记人员 |
|
|
9 |
employee_work_number |
varchar |
64 |
否 |
否 |
员工工号 |
|
10 |
employee_name |
varchar |
64 |
否 |
否 |
员工姓名 |
|
11 |
supplier_name |
varchar |
64 |
否 |
否 |
供应商名称 |
|
12 |
vendor_phone |
varchar |
64 |
否 |
否 |
供应商电话 |
|
13 |
supplier_address |
varchar |
64 |
否 |
否 |
供应商地址 |
|
14 |
receipt_quantity |
double |
否 |
否 |
入库数量 |
|
|
15 |
receipt_unit_price |
double |
否 |
否 |
入库单价 |
|
|
16 |
receipt_date |
date |
否 |
否 |
入库日期 |
|
|
17 |
receipt_remarks |
text |
65535 |
否 |
否 |
入库备注 |
|
18 |
examine_state |
varchar |
16 |
是 |
否 |
审核状态 |
|
19 |
examine_reply |
varchar |
255 |
否 |
否 |
审核回复 |
|
20 |
receipt_records_limit_times |
int |
是 |
否 |
确认入库限制次数 |
|
|
21 |
create_time |
datetime |
是 |
否 |
创建时间 |
|
|
22 |
update_time |
timestamp |
是 |
否 |
更新时间 |
|
|
23 |
source_table |
varchar |
255 |
否 |
否 |
来源表 |
|
24 |
source_id |
int |
否 |
否 |
来源ID |
|
|
25 |
source_user_id |
int |
否 |
否 |
来源用户 |
表 3-5-supplier(供应商)
|
编号 |
字段名 |
类型 |
长度 |
是否非空 |
是否主键 |
注释 |
|
1 |
supplier_id |
int |
是 |
是 |
供应商ID |
|
|
2 |
supplier_name |
varchar |
64 |
是 |
是 |
供应商名称 |
|
3 |
vendor_phone |
varchar |
64 |
否 |
否 |
供应商电话 |
|
4 |
supplier_address |
varchar |
64 |
否 |
否 |
供应商地址 |
|
5 |
person_in_charge |
varchar |
64 |
否 |
否 |
负责人 |
|
6 |
scope_of_supply |
text |
65535 |
否 |
否 |
供应范围 |
|
7 |
create_time |
datetime |
是 |
否 |
创建时间 |
|
|
8 |
update_time |
timestamp |
是 |
否 |
更新时间 |
表 3-6-user_group(用户组)
|
编号 |
字段名 |
类型 |
长度 |
是否非空 |
是否主键 |
注释 |
|
1 |
group_id |
mediumint |
是 |
是 |
用户组ID |
|
|
2 |
display |
smallint |
是 |
否 |
显示顺序 |
|
|
3 |
name |
varchar |
16 |
是 |
否 |
名称 |
|
4 |
description |
varchar |
255 |
否 |
否 |
描述 |
|
5 |
source_table |
varchar |
255 |
否 |
否 |
来源表 |
|
6 |
source_field |
varchar |
255 |
否 |
否 |
来源字段 |
|
7 |
source_id |
int |
是 |
否 |
来源ID |
|
|
8 |
register |
smallint |
否 |
否 |
注册位置 |
|
|
9 |
create_time |
timestamp |
是 |
否 |
创建时间 |
|
|
10 |
update_time |
timestamp |
是 |
否 |
更新时间 |
表 3-7-warehouse_information(仓库信息)
|
编号 |
字段名 |
类型 |
长度 |
是否非空 |
是否主键 |
注释 |
|
1 |
warehouse_information_id |
int |
是 |
是 |
仓库信息ID |
|
|
2 |
item_number |
varchar |
64 |
是 |
是 |
物品编号 |
|
3 |
item_name |
varchar |
64 |
是 |
否 |
物品名称 |
|
4 |
cover_chart |
varchar |
255 |
否 |
否 |
封面图 |
|
5 |
item_type |
varchar |
64 |
是 |
否 |
物品类型 |
|
6 |
item_specifications |
varchar |
64 |
是 |
否 |
物品规格 |
|
7 |
inventory_quantity |
double |
否 |
否 |
库存数量 |
|
|
8 |
storage_position |
varchar |
64 |
是 |
否 |
贮存位置 |
|
9 |
item_details |
longtext |
4294967295 |
否 |
否 |
物品详情 |
|
10 |
collect_len |
int |
是 |
否 |
收藏数 |
|
|
11 |
comment_len |
int |
是 |
否 |
评论数 |
|
|
12 |
receipt_registration_limit_times |
int |
是 |
否 |
入库登记限制次数 |
|
|
13 |
issue_registration_limit_times |
int |
是 |
否 |
出库登记限制次数 |
|
|
14 |
create_time |
datetime |
是 |
否 |
创建时间 |
|
|
15 |
update_time |
timestamp |
是 |
否 |
更新时间 |
表 3-8-comment(评论)
|
编号 |
字段名 |
类型 |
长度 |
是否非空 |
是否主键 |
注释 |
|
1 |
comment_id |
int |
是 |
是 |
评论ID |
|
|
2 |
user_id |
int |
是 |
是 |
评论人ID |
|
|
3 |
reply_to_id |
int |
是 |
否 |
回复评论ID |
|
|
4 |
content |
longtext |
4294967295 |
否 |
否 |
内容 |
|
5 |
nickname |
varchar |
255 |
否 |
否 |
昵称 |
|
6 |
avatar |
varchar |
255 |
否 |
否 |
头像地址 |
|
7 |
create_time |
timestamp |
是 |
否 |
创建时间 |
|
|
8 |
update_time |
timestamp |
是 |
否 |
更新时间 |
|
|
9 |
source_table |
varchar |
255 |
否 |
否 |
来源表 |
|
10 |
source_field |
varchar |
255 |
否 |
否 |
来源字段 |
|
11 |
source_id |
int |
是 |
否 |
来源ID |
表 3-9-customer_information(客户信息)
|
编号 |
字段名 |
类型 |
长度 |
是否非空 |
是否主键 |
注释 |
|
1 |
customer_information_id |
int |
是 |
是 |
客户信息ID |
|
|
2 |
customer_name |
varchar |
64 |
是 |
是 |
客户名称 |
|
3 |
customer_phone |
varchar |
64 |
是 |
否 |
客户电话 |
|
4 |
customer_address |
varchar |
64 |
是 |
否 |
客户地址 |
|
5 |
person_in_charge |
varchar |
64 |
是 |
否 |
负责人 |
|
6 |
business_scope |
text |
65535 |
否 |
否 |
营业范围 |
|
7 |
create_time |
datetime |
是 |
否 |
创建时间 |
|
|
8 |
update_time |
timestamp |
是 |
否 |
更新时间 |
首页展示轮播图信息、导航栏入口、资讯信息、仓库信息推荐等内容,并提供搜索框,便于用户快速获取感兴趣的内容与操作入口。前台首页模块展示如下图所示。

-
-
-
-
- 前台首页模块图
-
-
- 用户注册模块
-
不是仓库管理系统中正式用户的是可以在线进行注册的,当填写上自己的身份+账号+设置密码+确认密码+昵称+邮箱+学生姓名+员工工号+员工姓名等信息后再点击“注册”按钮后将会先验证输入的有没有空数据,再次验证密码和确认密码是否是一样的,最后验证输入的账户名和数据库表中已经注册的账户名是否重复,只有都验证没问题后即可用户注册成功。其用户注册模块展示如下图所示。

-
-
-
-
- 注册模块图
-
-
- 登录模块
-
仓库管理系统中的前台上注册后的用户是可以通过自己的用户名+密码进行登录的,当用户输入完整的自己的用户名+密码信息并点击“登录”按钮后,将会首先验证输入的有没有空数据,再次验证输入的用户名+密码和数据库中当前保存的用户信息是否一致,只有在一致后将会登录成功并自动跳转到仓库管理系统的首页中,否则将会提示相应错误信息,登录模块如下图所示。

-
-
-
-
- 登录模块图
-
-
- 前端员工用户功能模块
-
员工用户查看与仓库相关的资讯信息,支持按分类筛选热门资讯与最新发布内容,具备搜索、点赞、收藏、评论、回复等互动功能,提升知识传播效率与用户参与度。模块如下图所示:

员工用户查看仓库及物流详情,包括物品编号、名称、类型、库存数量、贮存位置等关键信息,支持搜索、点赞、收藏、评论、回复等操作。用户可发起入库或出库登记,但必须等待管理员审核确认后才能执行后续操作,确保库存数据的准确性与安全性。模块如下图所示:

-
-
-
-
- 仓库信息详情模块图
-
-
-


-
-
-
-
- 提交入库登记模块图
-
-
-

员工用户填写并提交供应商相关信息,包括供应商名称、联系电话、地址、负责人、供应范围等,便于后期采购与合作管理。模块如下图所示。

员工用户填写并提交客户相关信息,包括客户名称、联系电话、地址、负责人、营业范围等,便于后期销售与客户关系维护。模块如下图所示。

员工用户查看展示个人常用功能区域,包含前台主要功能的操作入口,如仓库统计图表、入库出库记录等,便于一站式管理个人业务。模块如下图所示。

员工用户查看当前物流状态与运输定位信息,支持查看详情、搜索、查询、重置等操作,帮助用户掌握货物配送进度。模块如下图所示。

员工用户可根据库存情况发起出库登记申请,填写相关信息并提交审核,审核通过后系统自动减少库存数量。支持查看详情、搜索、查询、重置、删除等操作。模块如下图所示。

员工用户查看已登记的供应商信息,支持查看详情、搜索、查询、重置、删除等操作,便于维护供应商资源库。模块如下图所示。

-
-
-
-
- 查看供应商模块图
-
-
- 后端管理员功能模块
-
管理员查看系统核心统计数据,包括仓库信息统计柱状图、入库记录统计折线图、出库记录统计折线图等可视化图表,辅助决策分析。同时可管理轮播图、公告数量、导航栏内容等基础配置,实现全局运营掌控。模块如下图所示。

管理员可查看所有注册员工用户信息,支持查看详情、审核账户状态、添加新员工、搜索、查询、重置、删除等操作,便于统一管理和维护用户体系。流程图如下所示。

-
-
-
-
- 角色管理流程图
-
-
-
角色管理模块如下图所示。

管理员可查看员工提交的入库登记申请,支持查看详情、审核并确认入库、搜索、查询、重置、删除等操作,确保入库流程合规可控。模块如下图所示。

-
-
-
-
- 审核入库登记模块图
-
-
-

管理员可查看员工提交的出库登记申请,支持查看详情、审核并确认出库、搜索、查询、重置、删除等操作,确保出库流程安全高效。模块如下图所示。

-
-
-
-
- 审核出库登记模块图
-
-
-

管理员查看已完成的出库记录信息,支持查看详情、安排物流登记、搜索、查询、重置、删除等操作,物流登记后可实时查看运输定位与状态。模块如下图所示。

管理员查看现有物品类型信息,支持查看详情、添加新物品类型、搜索已有类型、查询、重置、删除等操作,便于完善物品分类体系。模块如下图所示。

管理员查看仓库详细信息,支持修改贮存位置、查看详情、查看评论、添加新仓库信息、搜索、查询、重置、删除等操作。当库存数量低于10时,系统将自动发出预警提示,提醒及时补货。模块如下图所示。

-
-
-
-
- 添加仓库信息模块图
-
-
-

管理员可对首页轮播图信息进行管理,支持查看详情、添加新轮播图、搜索、查询、重置、删除等操作,优化首页视觉展示效果。模块如下图所示。

管理员可查看、编辑、删除、新增资讯信息,支持搜索、查看详情、添加、查询、重置、删除等操作;还可管理资讯分类信息,包括查看详情、添加分类、搜索、查询、重置、删除等操作,便于平台内容规范化与分类管理。模块如下图所示。

-
-
-
-
- 添加资讯信息模块图
-
-
-
测试的主要目的是确保系统的功能和性能满足预期的需求,同时识别和修复潜在的缺陷。通过系统测试,可以验证各个功能模块的正确性和稳定性,确保系统在不同使用场景下的表现符合设计要求。测试目的包括确认系统功能的完整性、验证数据处理的准确性、评估系统的性能和安全性。测试还可以提高用户满意度,保证用户在使用系统时获得流畅和可靠的体验。通过全面的测试,可以降低后期维护成本,减少系统上线后出现故障的风险,从而保障系统的长期稳定运行。
在本系统中,测试方法主要依赖于测试用例的设计与执行。测试用例是根据系统需求文档编写的,覆盖所有功能模块及其边界情况。每个测试用例包含输入数据、预期结果和实际结果的对比,以验证系统的功能是否按预期工作。
常见的测试用例包括功能测试用例、边界测试用例和异常测试用例[10]。功能测试用例针对系统的各项功能进行验证;边界测试用例则侧重于输入数据的边界条件,验证系统在极端情况下是否能够稳定运行;异常测试用例则用于验证系统在处理错误输入或异常情况时的反应。本文选择功能测试用例进行系统测试。
在测试执行过程中,记录每个用例的执行结果,并根据实际结果与预期结果的对比,判断系统是否存在缺陷。通过系统化的测试用例执行,可以有效提高测试的覆盖率和效率,为系统的最终上线提供保障。
表6-1 用户登录功能测试表
|
用例名称 |
用户登录系统 |
|
目的 |
测试用户通过正确的用户名和密码可否登录功能 |
|
前提 |
未登录的情况下 |
|
测试流程 |
1) 进入登录页面 2) 输入正确的用户名和密码 |
|
预期结果 |
用户名和密码正确的时候,跳转到登录成功界面,反之则显示错误信息,提示重新输入 |
|
实际结果 |
实际结果与预期结果一致 |
在系统中,创建功能也是基础功能之一,因此创建功能的测试很有代表性。在此章节主要列举在创建时各种情况下系统结果的测试。由于系统涉及创建功能操作过多,因此将多处统称创建功能。
创建数据用例如表6-2 所示。
表6-2 创建数据测试用例
|
测试用例编号 |
YL_05 |
|
|
测试用例名称 |
系统使用者进行创建数据 |
|
|
测试用例描述 |
使用者输入要创建的数据 |
|
|
系统入口 |
浏览器 |
|
|
步骤 |
预期结果 |
实际结果 |
|
输入完整并且格式正确的数据 |
提示“创建成功”,并显示所有数据 |
预期结果 |
|
核心位置数据但非必要位置不输入数据 |
提示“创建成功”,并显示所有数据 |
预期结果 |
|
核心数据位置不输入数据 |
提示“创建失败” |
预期结果 |
-
-
- 修改数据测试
-
在系统中,修改功能是系统主要实现功能,因此修改功能的测试很有代表性。在此章节主要列举在修改时各种情况下系统结果的测试。由于系统涉及修改功能操作过多,因此将多处数据表记录修改和状态修改统称修改功能。
修改数据用例如表6-3所示。
表6-3 修改数据测试用例
|
测试用例编号 |
YL_06 |
|
|
测试用例名称 |
系统使用者进行修改数据 |
|
|
测试用例描述 |
使用者对可修改的数据项进行修改 |
|
|
系统入口 |
浏览器 |
|
|
步骤 |
预期结果 |
实际结果 |
|
将现有数据修改成正确的数据 |
提示“修改成功”,并显示所有数据 |
预期结果 |
|
将现有数据修改成错误的数据 |
提示“修改失败” |
预期结果 |
-
-
- 查询数据测试
-
在系统中,查询功能是使用系统使用最多也是最基础的功能,因此查询功能的测试很有代表性。在此章节主要列举在查询时各种情况下系统结果的测试。
查询数据用例如表6-4所示。
表6-4 查询数据测试用例
|
测试用例编号 |
YL_05 |
|
|
测试用例名称 |
系统使用者进行查询数据 |
|
|
测试用例描述 |
全部查询以及输入关键词查询 |
|
|
系统入口 |
浏览器 |
|
|
步骤 |
预期结果 |
实际结果 |
|
界面自动查询全部 |
显示对应所有记录 |
预期结果 |
|
输入已存在且能匹配成功的关键字 |
显示所查询到的数据 |
预期结果 |
|
输入不存在的关键字 |
显示数据界面为空 |
预期结果 |
在本次测试的过程主要针对所有功能下的添加操作,修改操作和删除操作,并以真实数据一一进行相关功能项目的输入,最终能够保证每个项目涉及的功能都能够正常运行,因此能够保证本次设计的,已实现的功能能够正常运行并且相关数据库的信息也同样保证正确。
基于SpringBoot的仓库管理系统结合了多种现代化技术,成功实现了对仓库信息、库存管理、入库出库操作等多个功能的高效管理。系统使用SpringBoot框架搭建,具备快速开发、易扩展的特点,前后端分离的架构提升了系统的响应速度和用户体验。通过数据库的管理,系统能够实时更新库存数据,支持商品的入库、出库、查询、搜索等功能,并根据管理员的审核确保了操作的准确性与规范性。此外,系统还实现了通知公告、物流登记、供应商和客户信息管理等功能,全面提升了仓库管理的效率和安全性。
在开发过程中,深入理解了SpringBoot框架的优势,掌握了前后端交互、数据持久化和权限控制等技术,提升了系统的可维护性与安全性。通过项目的实施,不仅加深了对仓库管理流程的理解,还掌握了如何根据实际业务需求开发定制化的管理系统,为实际应用提供了有力的技术支持。
未来,随着业务需求的不断变化,仓库管理系统将继续向更高效、更智能的方向发展。系统将加强与其他企业管理平台的集成,并不断优化用户体验与数据处理能力。通过技术的不断创新,系统将更好地满足企业在仓储管理、供应链管理等方面的需求,提升整体运营效率。
- 刘江涛,王亮亮,吴庆茹,等.基于B/S模式的铁路勘测设计案例信息化管理系统设计与实现[J].铁路计算机应用,2021,30(03):32-35.
- 张丹丹,李弘.基于B/S架构的办公管理系统设计与开发[J].铁路通信信号工程技术,2024,21(09):44-48+106.
- 王志亮,纪松波.基于SpringBoot的Web前端与数据库的接口设计[J].工业控制计算机,2023,36(03):51-53.
- 熊永平.基于SpringBoot框架应用开发技术的分析与研究[J].电脑知识与技术,2021,15(36):76-77.
- 赵媛.基于Vue的Web系统前端性能优化分析[J].电脑编程技巧与维护,2024,(09):44-46.
- 秦冬.浅析Vue框架在前端开发中的应用[J].信息与电脑(理论版),2024,36(13):61-63.
- 李艳杰.MySQL数据库下存储过程的综合运用研究[J].现代信息科技,2023,7(11):80-82+88.
- 尹应荆.JAVA编程语言在计算机软件开发中的应用[J].石河子科技,2023,(05):45-47.
- 陈倩怡,何军.Vue+Springboot+MyBatis技术应用解析[J].电脑编程技巧与维护,2020,(01):14-15+28.
- 李俊萌.计算机软件测试技术与开发应用策略分析[J].信息记录材料,2023,24(03):50-52.
- Çağla Sarvan Cibil,Nalan Özkurt. WaveConstLib: A java library for signal analysis and wavelet construction [J]. SoftwareX, 2025, 30 102095-102095.
- Salunke V S ,Ouda A . A Performance Benchmark for the PostgreSQL and MySQL Databases [J]. Future Internet, 2024, 16 (10): 382-382.
- Ahmet M . Mastering Spring Boot 3.0:A comprehensive guide to building scalable and efficient backend systems with Java and Spring[M]. Packt Publishing Limited: 2024-06-28.
- 王晴. 应用Java EE技术实现仓库管理系统的开发研究 [J]. 兰州石化职业技术大学学报, 2025, 25 (01): 31-36.
- 本丽莉,万京松,王城,等. 基于智能技术的电力物资仓库智慧管理系统设计 [J]. 集成电路应用, 2024, 41 (12): 102-103.
- 陶奉春. 基于无线传感器网络的工厂仓库管理系统设计 [J]. 电脑知识与技术, 2024, 20 (31): 102-104.
- 刘锋,黄甫泓杭,薛嫒,等. 智能仓库中的安全管理系统设计与实现 [J]. 电子技术, 2024, 53 (10): 36-39.
- 李雪文. 电子元器件自动化立体仓库控制与管理系统的设计[D]. 重庆理工大学, 2024.
- 刘发稳,容会,杨涓海,等. 基于数据仓库的高职院校招生管理系统 [J]. 现代计算机, 2024, 30 (13): 89-94.
- 丁士祥. H公司电商业务仓库管理系统规划研究[D]. 大连理工大学, 2024.
- 苏木雄. 平面仓库管理系统的货位分配及出入库调度策略研究[D]. 佛山科学技术学院, 2024.
- 吴思翰. 基于单片机的智能物流仓库管理系统设计 [J]. 中国储运, 2024, (04): 160-162.
构建仓库管理系统的工作规划与实施已经顺利达成,尽管在过程中遇到了不少挑战,但我的心中充满了自豪和满足感。在此,我要向大学期间指导过我的所有老师表达最深的谢意,正是他们的专业指导和智慧启迪,让我能够独立完成系统的构建。特别要感谢我的导师,他总是耐心地解答我的疑问,助我克服困难,增强了我独立解决问题的能力。同时,室友和同学们的宝贵建议与支持也极大地促进了我的成长。展望未来,我将持续追求卓越,以回报所学所悟和老师的期望。坚信只要持续坚持,不懈努力,未来定会迎来更加辉煌的成就。期待更加美好的明天!
此外,仓库管理系统的构建不仅是技术上的挑战,也是个人成长的磨砺。挫折和困难成为我成长的垫脚石,让我更深入地理解问题,并准确地找到解决方法。每次成功解决问题,都让我感到极大的满足和自豪。
对于未来,我满怀期待与信心。无论道路多么艰难,只要我保持坚定的信念,持续不懈地努力,就一定能取得更大的成就。期待将所学的知识和技能应用于实践,为社会作出更大的贡献。
最后,我要向所有支持和帮助我的人表达衷心的感激。你们的教诲、鼓励和支持是我取得今日成就的关键因素。我将继续努力,不辜负大家的期望,为实现更加美好的未来而奋斗。
代码:
连接数据库的文件在Resources 文件夹下的application.yml文件,代码如下:
server:
port: 5000
servlet:
context-path: /api
spring:
mvc:
static-path-pattern: /upload/**
resources:
static-locations: file:此处填写地址/project93355/server/src/main/resources/static
datasource:
jdbc:mysql://127.0.0.1:3306/projectxxxxx?serverTimezone=GMT%2B8&useSSL=false&characterEncoding=utf-8
username: root
password: root
driver-class-name: com.mysql.cj.jdbc.Driver
type: com.alibaba.druid.pool.DruidDataSource
jackson:
property-naming-strategy: CAMEL_CASE_TO_LOWER_CASE_WITH_UNDERSCORES
default-property-inclusion: ALWAYS
time-zone: GMT+8
date-format: yyyy-MM-dd HH:mm:ss
servlet:
项目启动文件Application.java,代码如下:
@SpringBootApplication(exclude = {DataSourceAutoConfiguration.class})
@EnableJpaRepositories
@MapperScan("com.project.demo.dao")
public class Application {
public static void main(String[] args) {
SpringApplication.run(Application.class,args);
}
}
修改数据代码如下:
@PostMapping("/set")
@Transactional
public Map<String, Object> set(HttpServletRequest request) throws IOException {
service.update(service.readQuery(request), service.readConfig(request), service.readBody(request.getReader()));
return success(1);
}
删除一条数据代码如下:
@RequestMapping(value = "/del")
@Transactional
public Map<String, Object> del(HttpServletRequest request) {
service.delete(service.readQuery(request), service.readConfig(request));
return success(1);
}
public void delete(Map<String,String> query,Map<String,String> config){
QueryWrapper wrapper = new QueryWrapper<E>();
toWhereWrapper(query, "0".equals(config.get(FindConfig.GROUP_BY)),wrapper);
baseMapper.delete(wrapper);
log.info("[{}] - 删除操作:{}",wrapper.getSqlSelect());
}
通过请求的参数获取列表数据,代码如下:
@RequestMapping("/get_list")
public Map<String, Object> getList(HttpServletRequest request) {
Map<String, Object> map = service.selectToPage(service.readQuery(request), service.readConfig(request));
return success(map);
}
获取某个组下面的数量,代码如下:
@RequestMapping(value = {"/count_group", "/count"})
public Map<String, Object> count(HttpServletRequest request) {
Integer value= service.selectSqlToInteger(service.groupCount(service.readQuery(request), service.readConfig(request)));
return success(value);
}
注册页登录代码如下:
/**
* 注册
* @param user
* @return
*/
@PostMapping("register")
public Map<String, Object> signUp(@RequestBody User user) {
// 查询用户
Map<String, String> query = new HashMap<>();
Map<String,Object> map = JSON.parseObject(JSON.toJSONString(user));
query.put("username",user.getUsername());
List list = service.selectBaseList(service.select(query, new HashMap<>()));
if (list.size()>0){
return error(30000, "用户已存在");
}
map.put("password",service.encryption(String.valueOf(map.get("password"))));
service.insert(map);
return success(1);
}
MD5加密,代码如下:
public String encryption(String plainText) {
String re_md5 = new String();
try {
MessageDigest md = MessageDigest.getInstance("MD5");
md.update(plainText.getBytes());
byte b[] = md.digest();
int i;
StringBuffer buf = new StringBuffer("");
for (int offset = 0; offset < b.length; offset++) {
i = b[offset];
if (i < 0)
i += 256;
if (i < 16)
buf.append("0");
buf.append(Integer.toHexString(i));
}
re_md5 = buf.toString();
} catch (Exception e) {
e.printStackTrace();
}
return re_md5;
}
登录页代码如下:
/**
* 登录
* @param data
* @param httpServletRequest
* @return
*/
@PostMapping("login")
public Map<String, Object> login(@RequestBody Map<String, String> data, HttpServletRequest httpServletRequest) {
log.info("[执行登录接口]");
String username = data.get("username");
String email = data.get("email");
String phone = data.get("phone");
String password = data.get("password");
List resultList = null;
Map<String, String> map = new HashMap<>();
if(username != null && "".equals(username) == false){
map.put("username", username);
resultList = service.selectBaseList(service.select(map, new HashMap<>()));
}
else if(email != null && "".equals(email) == false){
map.put("email", email);
resultList = service.selectBaseList(service.select(map, new HashMap<>()));
}
找回密码,接收用户输入的用户名、密码、验证码,并进行条件判断,代码如下:
/**
* 找回密码
* @param form
* @return
*/
@PostMapping("forget_password")
public Map<String, Object> forgetPassword(@RequestBody User form,HttpServletRequest request) {
JSONObject ret = new JSONObject();
String username = form.getUsername();
String code = form.getCode();
String password = form.getPassword();
// 判断条件
if(code == null || code.length() == 0){
return error(30000, "验证码不能为空");
}
if(username == null || username.length() == 0){
return error(30000, "用户名不能为空");
}
if(password == null || password.length() == 0){
return error(30000, "密码不能为空");
}
【关注博主 →免费赠送完整源码+数据库】
【关注博主 →免费赠送完整源码+数据库】
【关注博主 →免费赠送完整源码+数据库】
更多推荐




所有评论(0)