(赠源码)基于Java的汽车零部件资源管理分配系统78424-计算机毕设选题推荐 原创
本次要开发的汽车零部件资源管理分配系统是基于当下互联网+时代而开发的一个专门的网络售卖汽车零部件的一个平台,让人们在快节奏的生活工作环境下,可以享受不出门便可购买汽车零部件、坐等送货上门的服务。该项目主要由前台和后台两大部分而构成,这两部分的使用人群是不同的,前台是广大需要购买汽车零部件的用户所使用的,后台是批发商和程序管理员所使用的,用户在前台能够进行浏览商品、注册登录、对意向商品加入购物车、支
身处互联网+时代,互联网无形中影响着人们的吃穿住行,人们享受着不出门便可购物的便利,网络购物在当今社会工作生活节奏飞快的今天备受欢迎,让人们购物不再受时间、地点的制约,高效快速。
本次要开发的汽车零部件资源管理分配系统是基于当下互联网+时代而开发的一个专门的网络售卖汽车零部件的一个平台,让人们在快节奏的生活工作环境下,可以享受不出门便可购买汽车零部件、坐等送货上门的服务。该项目主要由前台和后台两大部分而构成,这两部分的使用人群是不同的,前台是广大需要购买汽车零部件的用户所使用的,后台是批发商和程序管理员所使用的,用户在前台能够进行浏览商品、注册登录、对意向商品加入购物车、支付购买等一系列活动;商家在后台能够进行商城管理,添加新的汽车零部件商品和对用户的聊天信息、订单信息进行处理;管理员在后台能够进行管理用户、管理商品、管理商品类别、管理前台用户的订单等操作,该项目的应用,可以让商家跟随时代发展的步伐,不被淘汰,增强商家的竞争力。
本次开发项目的设计采用Web网页交互的方法,利用MySQL来作为数据存储库,采用Java语言,基于SpringBoot框架等技术实现,给用户带来到一种全新的购买汽车零部件的体验,享受足不出户送货上门的服务。
关键词 线上商城;SpringBoot;汽车零部件资源管理;MySQL
Java based automotive component resource management and allocation system
Abstract In the era of Internet plus, the Internet has an invisible impact on people's food, clothing, housing and transportation. People enjoy the convenience of shopping without going out. Online shopping is very popular in today's fast pace of work and life, so that people are no longer restricted by time and place to shop efficiently and quickly.
The auto parts resource management and distribution system developed this time is a special platform for selling auto parts online based on the current Internet plus era, so that people can enjoy the service of buying auto parts without going out and waiting for home delivery in a fast-paced living and working environment. This project mainly consists of two parts: the front-end and back-end. The target audience for these two parts is different. The front-end is used by a large number of users who need to purchase automotive parts, while the back-end is used by wholesalers and program administrators. Users can browse products, register and log in, add intended products to shopping carts, pay and purchase a series of activities on the front-end; Merchants can manage the mall in the backend, add new automotive parts products, and process user chat and order information; Administrators can perform operations such as managing users, managing products, managing product categories, and managing orders for front-end users in the backend. The application of this project can enable businesses to keep up with the pace of the times, not be eliminated, and enhance their competitiveness.
The design of this development project adopts the method of web page interaction, using MySQL as the data repository, using Java language, based on SpringBoot framework and other technologies, to bring users a new experience of purchasing automotive parts and enjoy door-to-door delivery services without leaving home.
Key words Online shopping mall; SpringBoot; Automotive component resource management; MySQL
目录
1 绪论
1.1 研究背景
自从计算机出现以来,给社会经济方面带来了很大的影响,不仅仅加快了社会经济的发展,而且让整个社会都在悄无声息的发生着变化,尤其是在互联网的诞生、普及以后,更是让人们的衣食住行都和它密不可分,人们越来越享受互联网所带来的便利生活,也越来越离不开它。
互联网+这一商业模式的推出,让传统实体店销售购物的模式备受冲击,虽然目前也存在很多的实体商家固守传统模式,不引入新型销售模式,在当下社会销售量日趋下降,最终被淘汰。这可见互联网+商业模式的强大,也侧面反映出人们对网络购物模式的热衷,现在绝大多数商家,在坚守实体店的基础下,也开始了网络销售体系,甚至很多商家没有实体店面,直接实现网上销售,节约店面费用、人员工资,这样费用降低了,商品则薄利多销,商品的价格可以做到比实体价格更低,这也是人们喜欢、热衷网络购物的原因之一,再者网络购物方式,可以不用考虑时间、地点的问题,人们在忙碌工作了一天之后,不用再托着疲惫的身体到处逛街、选购物品,只要通过网络便可以选购物品,而且还能买到当地没有的东西,非常方便,让人们从选购、支付、收货都无需出门,可以享受专人派送服务,这也充分体现了网络独特的优势,无可替代。
本项目搭建的汽车零部件资源管理分配系统,是针对批发商家销售汽车零部件、用户购买汽车零部件而设计开发的一款专门的汽车零部件销售管理平台,是一个有针对性的电子商务平台,让用户在选购汽车零部件时更加的方便、快速,也让批发商家的销量可以增加,提高商家的竞争力。
1.2研究意义
以往人们购买汽车零部件的时候都是去实体店来选购,实体店营业时间固定,人们需要在营业时间去实体店来选购,有局限性,这种模式伴随着互联网+模式的出现,已经越来越不被大家所喜爱,人们现在更喜欢网络来购买汽车零部件。
本项目汽车零部件资源管理分配系统便是根据广大用户购买汽车零部件的需求而开发出的一个专业的、专门的B2C模式的汽车零部件在线交易管理平台,和人们日常所接触的淘宝、拼多多、京东等差不多,人们只需利用网络来打开该程序,便可以一览汽车零件,还能够根据商品类别来筛选,可以更快速的定位到自己需要的商品,支付过后,静待几天后便可收到购买的商品,尽情享受送上门的服务。而对于商家来说,商家充分利用电商模式来开辟一个全新的汽车零部件在线交易途径,来拓展客户群,提高营业额,促进商家发展,提高竞争力。
因此,研究和开发一个高效、安全、用户友好的汽车零部件资源管理分配系统具有重要意义。通过采用SpringBoot等现代化的开发框架和技术,可以实现系统的快速开发和部署,并提供稳定可靠的功能。同时,结合电子商务的最佳实践和用户需求,设计一个符合用户期望的界面和功能,提高用户的购物体验和满意度。
1.3研究现状
随着信息技术的快速发展,互联网的普及,让人们的生活发生了翻天覆地的变化,其中影响人们最深的便是互联网购物,以前人们购物,都是亲自到商场和超市来选购,在众多商品中一一挑选,挑选结束后到收银台交钱结算,然后再拎着大包小包的商品回家,但是,随着互联网+模式的出现,人们购物不再仅仅依附于去实体店来购买,还可以在家,利用电脑或者手机来进入专门的购物商城来选购自己需要的商品,在购物商城可以通过商品的类别或者商品的名称来快速的筛选出符合自己需求的商品,然后可以在线来支付,支付后只需要在家耐心等待几天,便会由快递员送货上门,不用自己大包小包的领回家,这种网购模式在当下社会工作节奏飞快的今天,已经成为了年轻人购物的首选,备受欢迎。
现在电子商务网购模式已经非常普遍,也支撑着社会经济的发展,电商平台有B2B模式(商家和商家之间的)、B2C模式(商家和用户之间的)、C2C模式(用户和用户之间的),在这三种电商模式中,人们日常生活中使用的最多的便是B2C这一电商模式,在众多B2C模式的电商平台里面,最为常见的有淘宝、京东、拼多多等,而且近几年新出现的抖音平台,从短视频的发布、分享,也渐渐的融入了电商的功能,直播带货现在也非常火热,让人们能够更直观的看到商品,也非常受人们的喜欢,一个个成功电商平台的出现,也正说明了人们对电商平台的需求,电子商务还有很大的发展空间,有待进一步的突破。
1.4论文结构安排
本汽车零部件资源管理分配系统一共分为六个章节进行介绍,章节内容安排如下:
第一章:引言。第一章主要介绍了汽车零部件资源管理分配系统课题研究的背景,汽车零部件资源管理分配系统的现状和本文的研究内容与主要工作。
第二章:系统需求分析。第二章主要从系统的用户、功能等方面进行需求分析。
第三章:系统设计。第三章主要对系统框架、系统功能模块、数据库进行功能设计。
第四章:系统实现。第四章主要介绍了系统框架搭建、系统界面的实现。
第五章:系统测试。第五章主要对系统的部分界面进行测试并对主要功能进行测试
第六章:总结。
2 汽车零部件资源管理分配系统需求分析
系统需求分析是系统开发的一个关键环节,它在系统的设计和实现上起到了一个承上启下的位置。系统需求分析是对所需要做的系统进行一个需求的挖掘,如果分析的准确可以精准的解决现实中碰到的问题。如果分析不到位会影响后期系统的实现。一个系统的优秀程度需求分析也是占据了非常大的比例,如果需求分析不到位,后面的系统设计要实现就是一个偏离导航的设计。
2.1 可行性分析
系统可行行分析是对系统对系统可行性进行一个探讨。在探讨系统的可行性上我们主要从技术上的可行性和经济上的可行性以及操作层面的可行性上进行分析,如果三个层面度通过,我们则认为系统是比较可行的。
2.1.1 技术可行性分析
汽车零部件资源管理分配系统设计与实现是一个基于Web的交易、管理平台,我们在实现这个系统所采用的技术方案是基于Java语言,采用的是SpringBoot框架以及MySQL数据库,在大学的学习中这两门课程都已经学过,而且自己也用这些技术开发过小的项目,在平时的课程设计以及作业也经常用到SpringBoot和MySQL,在技术上实现自己的自主开发是可行的。
2.1.2 经济可行性分析
开发本汽车零部件资源管理分配系统的技术都是可以从网上直接免费下载,不用花一分钱,而且系统的源代码都是自己进行设计开发的,不需要成本,如果后期想要进行运营,只要把配置到服务器上,花费服务器的租赁费用,在使用中可以进行增加广告收益,因此在经济方面是可性的。
2.1.3 操作可行性分析
当下网络新时代,计算机已经得到了普及,多数人对计算机都比较的熟悉,知道如何使用它,当然也存在对计算机比较陌生的这一群体,也需要对其进行考虑。在进行汽车零部件资源管理分配系统页面的设计的时候,考虑到使用人群,可能也存在对计算机比较陌生的人,所以,在页面的设计方面,设计的很是简单、简洁,布局明了,色调明朗,让无论是对计算机陌生还是对计算机熟悉的使用者,都可以使用自如,这也说明了该程序的操作方面非常可行。
2.2需求分析
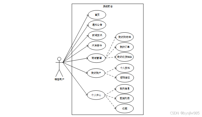
本汽车零部件资源管理分配系统的设计主要是针对四种用户进行使用,第一种是以游客身份使用,游客在进入系统后可以查看到系统中的所有内容,包括首页、通知公告、新闻资讯、汽车零件、商城管理,如果想要评论或者购买,可以注册登录;第二种是注册之后有账号的用户,登录以后可以收藏、评论、购买、管理收货地址、订单、个人资料等;第三种则是批发批发用户,商家用在后台能够进行商城管理,添加新的汽车零部件商品和对用户的订单信息进行配送处理、回复用户的聊天信息;第四种是管理员,是系统的管理者,管理员对系统中的系统用户、聊天信息管理、系统管理、通知公告管理、资源管理、商城管理进行整体把控。
2.3 功能需求分析
(1)注册登录模块:注册是游客独有的功能,注册后就成了系统的销售用户了,然后销售用户通过前台登录,批发用户和管理员用户通过后台登录。注册登录模块用例如下图2-1所示。
图2-1 注册登录模块用例图
(2)新闻资讯模块:游客可以查看新闻资讯,用户可以收藏、评论、点赞新闻资讯信息,管理员可以添加、修改、删除新闻资讯,管理评论。新闻资讯模块用例如下图2-2所示。
图2-2 新闻资讯模块用例图
(3)汽车零件模块:游客可以查看汽车零件,用户可以对商城中的商品收藏、评论、加购、立即购买,管理员和商家可以添加、修改、删除商品,管理商品评论。汽车零件模块如下图2-3所示。
图2-3 汽车零件模块用例图
(4)用户管理模块:用户管理是后台管理员独有功能,管理员可以对注册的用户进行修改、删除、查询、也可以添加新的用户。用户管理模块用例如下图2-4所示。
图2-4用户管理模块用例图
(5)购物管理模块:购物管理是前台用户独有功能,用户可以选择两种购买方式,一种是把商品加入到购物车,另一种是直接购买,最终实现购物功能,购物管理模块用例如下图2-5所示。
图2-5购物管理模块用例图
(6)订单管理模块:订单管理模块是前台用户和后台批发用户、管理员都有的功能,前台用户可以提交订单,管理订单,商家和管理员能够对用户订单进行管控。订单管理模块用例如下图2-6所示。
图2-6订单管理模块用例图
(7)个人中心模块:个人中心模块是用户独有的功能,可以在“我的账户”管理个人资料,密码修改,也可以在“个人中心”对聊天信息、订单配送和收藏的信息进行管理,用例如下图2-7所示。
图2-7个人中心模块用例图
2.4 非功能性需求分析
系统的非功能需求方面主要是从系统的安全性、存储性、可靠性、易学性、稳定性等方面进行分析:
(1)安全性:系统的安全问题是开发者首先要考虑的,如果系统存在安全隐患,可能使得用户个人信息被泄露,给用户带来困扰,造成损失。
(2)储存性:因为用户使用的关于汽车零部件在线销售的网站,销售用户多,而且登录后要查询各种汽车零部件信息,那就需要一个强大的数据库来进行数据的存储,对数据库的要求是非常严格的,本系统选用的是MySQL数据库,MySQL的运行速度很快,执行命令的速度也非常快,而且体积小。
(3)可靠性:可靠性指的是用户在进行汽车零部件信息查询、评论以及购买的时候,能够按照用户的指示进行显示信息,如果用户点击查询汽车零部件详细信息,显示出来的是不可购买的信息,那就违背用户的初衷。
(4)易学性:系统的开发面向对象学历不尽相同,所有在开发的时候要考虑系统操作应该简单,不需要进行任何学习、培训,只能上网的用户就可以操作。
(5)稳定性:系统在运行方面要很稳定,系统的界面、字体要清楚,没有失真现象,给用户以良好的体验。
(6)可拓展性:本汽车零部件资源管理分配系统的功能还有待完善,因此系统要有很好的拓展性,方便后期功能更新维护。
2.6系统角色用例分析
2.6.1系统前端界面
汽车零部件资源管理分配系统的前端主要是对系统信息的查看、收藏、评论以及对商品的购买,购买的过程中需要对收货地址进行设置,对购物车进行管理,查看自己的订单。前台销售用户用例图如图2-8所示。
图2-8 汽车零部件资源管理分配系统前台销售用户用例图
在系统前台中主要实现的是对汽车零部件资源管理分配系统中信息的浏览,用户对信息收藏、评论以及在汽车零件中对商品购买几个功能。
(1)新闻资讯功能,主要实现了是对新闻资讯的查看,用户进行评论、收藏、点赞,用例说明如下表所示:
表2-1 新闻资讯用例说明
|
用例名称 |
新闻资讯 |
|
角色 |
用户 |
|
用例说明 |
对新闻资讯评论 |
|
前置条件 |
用户登录到系统当中 |
|
后置条件 |
用户发表评论 |
|
基本事件流 |
1.进入系统登录界面 2.点击新闻资讯,选择某条新闻资讯查看详情 3.输入评论内容 4.点击提交按钮,发表评论 |
|
扩展流程 |
3a.用户没有登录成功 |
|
异常事件流 |
3a.输入评论内容为空 |
|
其他 |
无 |
(2)汽车零部件商品购买功能,本功能是系统的主要功能,主要是实现在线购买功能,用例说明如下标所示:
表2-2 汽车零件用例说明
|
用例名称 |
商品购买 |
|
角色 |
用户 |
|
用例说明 |
对商品加入购物车购买或者立即购买 |
|
前置条件 |
用户登录到系统当中 |
|
后置条件 |
对商品加入购物车购买或者立即购买 |
|
基本事件流 |
1.进入系统登录界面 2.点击汽车零件,选择某条汽车零件查看详情 3.加入购物车或者立即购买 4.输入订单信息提交订单 |
|
扩展流程 |
3a.现在支付方式 |
|
异常事件流 |
3a.用户没有登录 |
|
其他 |
无 |
2.6.2系统后端界面
后台分为批发用户和管理员两个角色,用户不能进入后台。批发用户进入后台对个人信息和密码进行修改维护,回复用户的聊天信息,同时可以添加新的汽车零件信息,对用户的订单信息进行处理、配送等。管理员进入以后可以对系统用户、聊天信息管理、系统管理、通知公告管理、资源管理、商城管理进行管理。
批发用户用例图如图2-9所示。
图2-9 汽车零部件资源管理分配系统批发用户用例图
后台管理员用例图如图2-10所示。
图2-10 汽车零部件资源管理分配系统后台管理员用户用例图
后台管理员主要实现了是对用户信息、销售用户和批发用户的聊天信息、轮播图、通知公告、新闻资讯以及汽车零件商城的商品信息、订单信息的增删改查操作。后台的用例说明如下表所示:
表2-3 后台管理用例说明
|
用例名称 |
后台管理 |
|
角色 |
管理员 |
|
用例说明 |
对前端显示的信息进行管理 |
|
前置条件 |
管理员登录进入后台管理页面 |
|
后置条件 |
无 |
|
基本事件流 |
1.管理员登录进入后台管理界面 2.点击左侧选择相应功能板块 3.选择所要操作的数据 4.点击选择的内容进行增加/删除/修改/查找 5.点击立即保存按钮 |
|
扩展流程 |
无 |
|
异常事件流 |
无 |
|
其他 |
无 |
2.7 系统流程分析
2.7.1数据流程
汽车零部件资源管理分配系统主要的目的就是实现对汽车零部件的在线购买交易,图2-11就是系统的数据流图。
图2-11汽车零部件购买操作展开图
2.7.2业务流程
分析完汽车零部件资源管理分配系统的数据流,接下来我们来看系统的业务流程,图2-12就是业务流程图:
图2-12业务流程图
3 汽车零部件资源管理分配系统概要设计
3.1系统功能结构设计
系统在结构上的设计至关重要,要考虑周全,设计全面,一个完善的结构体系,能够满足用户在使用时的各种需求,这样会让提高程序的使用率,保证程序被长久的利用。在设计汽车零部件资源管理分配系统的结构时,也列入重点,采用模块化的方法来进行设计,即首先将大模块确定下来,再慢慢的将大模块进行补充完善,向下分支出小模块,一起共同组成的系统的结构体系,下图是该汽车零部件资源管理分配系统的结构设计图,直观明了的可以看出本项目程序的功能。
汽车零部件资源管理分配系统功能结构图如图3-1所示。
图3-1 汽车零部件资源管理分配系统功能结构图
3.2系统数据库设计
数据库设计一般包括需求分析、概念模型设计、数据库表建立三大过程,其中需求分析前面章节已经阐述,概念模型设计有概念模型和逻辑结构设计两部分。
3.2.1数据库概念结构设计
在数据库概念模型设计的时候,一般都采用E-R实体图进行展示,在实体图中可以展示出数据库表中的所有字段名称。下面是整个基于Java的汽车零部件资源管理分配系统中主要的数据库表总E-R实体关系图。
图3-2 系统总E-R关系图
3.2.2数据库逻辑结构设计
在数据库表中我们会看到系统的表名、主键、外键等信息,我们通过数据库表的主键、外键把每个表关联起来,然后在界面中展示,本汽车零部件资源管理分配系统的主要的数据库表如下:
|
编号 |
名称 |
数据类型 |
长度 |
小数位 |
允许空值 |
主键 |
默认值 |
说明 |
|
1 |
token_id |
int |
10 |
0 |
N |
Y |
临时访问牌ID |
|
|
2 |
token |
varchar |
64 |
0 |
Y |
N |
临时访问牌 |
|
|
3 |
info |
text |
65535 |
0 |
Y |
N |
||
|
4 |
maxage |
int |
10 |
0 |
N |
N |
2 |
最大寿命:默认2小时 |
|
5 |
create_time |
timestamp |
19 |
0 |
N |
N |
CURRENT_TIMESTAMP |
创建时间: |
|
6 |
update_time |
timestamp |
19 |
0 |
N |
N |
CURRENT_TIMESTAMP |
更新时间: |
|
7 |
user_id |
int |
10 |
0 |
N |
N |
0 |
用户编号: |
|
编号 |
名称 |
数据类型 |
长度 |
小数位 |
允许空值 |
主键 |
默认值 |
说明 |
|
1 |
address_id |
int |
10 |
0 |
N |
Y |
收货地址: |
|
|
2 |
name |
varchar |
32 |
0 |
Y |
N |
姓名: |
|
|
3 |
phone |
varchar |
13 |
0 |
Y |
N |
手机: |
|
|
4 |
postcode |
varchar |
8 |
0 |
Y |
N |
邮编: |
|
|
5 |
address |
varchar |
255 |
0 |
N |
N |
地址: |
|
|
6 |
user_id |
mediumint |
8 |
0 |
N |
N |
用户ID:[0,8388607]用户获取其他与用户相关的数据 |
|
|
7 |
create_time |
timestamp |
19 |
0 |
N |
N |
CURRENT_TIMESTAMP |
创建时间: |
|
8 |
update_time |
timestamp |
19 |
0 |
N |
N |
CURRENT_TIMESTAMP |
更新时间: |
|
9 |
default |
bit |
1 |
0 |
N |
N |
0 |
默认判断 |
|
编号 |
名称 |
数据类型 |
长度 |
小数位 |
允许空值 |
主键 |
默认值 |
说明 |
|
1 |
article_id |
mediumint |
8 |
0 |
N |
Y |
文章id:[0,8388607] |
|
|
2 |
title |
varchar |
125 |
0 |
N |
Y |
标题:[0,125]用于文章和html的title标签中 |
|
|
3 |
type |
varchar |
64 |
0 |
N |
N |
0 |
文章分类:[0,1000]用来搜索指定类型的文章 |
|
4 |
hits |
int |
10 |
0 |
N |
N |
0 |
点击数:[0,1000000000]访问这篇文章的人次 |
|
5 |
praise_len |
int |
10 |
0 |
N |
N |
0 |
点赞数 |
|
6 |
create_time |
timestamp |
19 |
0 |
N |
N |
CURRENT_TIMESTAMP |
创建时间: |
|
7 |
update_time |
timestamp |
19 |
0 |
N |
N |
CURRENT_TIMESTAMP |
更新时间: |
|
8 |
source |
varchar |
255 |
0 |
Y |
N |
来源:[0,255]文章的出处 |
|
|
9 |
url |
varchar |
255 |
0 |
Y |
N |
来源地址:[0,255]用于跳转到发布该文章的网站 |
|
|
10 |
tag |
varchar |
255 |
0 |
Y |
N |
标签:[0,255]用于标注文章所属相关内容,多个标签用空格隔开 |
|
|
11 |
content |
longtext |
2147483647 |
0 |
Y |
N |
正文:文章的主体内容 |
|
|
12 |
img |
varchar |
255 |
0 |
Y |
N |
封面图 |
|
|
13 |
description |
text |
65535 |
0 |
Y |
N |
文章描述 |
|
编号 |
名称 |
数据类型 |
长度 |
小数位 |
允许空值 |
主键 |
默认值 |
说明 |
|
1 |
type_id |
smallint |
5 |
0 |
N |
Y |
分类ID:[0,10000] |
|
|
2 |
display |
smallint |
5 |
0 |
N |
N |
100 |
显示顺序:[0,1000]决定分类显示的先后顺序 |
|
3 |
name |
varchar |
16 |
0 |
N |
N |
分类名称:[2,16] |
|
|
4 |
father_id |
smallint |
5 |
0 |
N |
N |
0 |
上级分类ID:[0,32767] |
|
5 |
description |
varchar |
255 |
0 |
Y |
N |
描述:[0,255]描述该分类的作用 |
|
|
6 |
icon |
text |
65535 |
0 |
Y |
N |
分类图标: |
|
|
7 |
url |
varchar |
255 |
0 |
Y |
N |
外链地址:[0,255]如果该分类是跳转到其他网站的情况下,就在该URL上设置 |
|
|
8 |
create_time |
timestamp |
19 |
0 |
N |
N |
CURRENT_TIMESTAMP |
创建时间: |
|
9 |
update_time |
timestamp |
19 |
0 |
N |
N |
CURRENT_TIMESTAMP |
更新时间: |
|
编号 |
名称 |
数据类型 |
长度 |
小数位 |
允许空值 |
主键 |
默认值 |
说明 |
|
1 |
auth_id |
int |
10 |
0 |
N |
Y |
授权ID: |
|
|
2 |
user_group |
varchar |
64 |
0 |
Y |
N |
用户组: |
|
|
3 |
mod_name |
varchar |
64 |
0 |
Y |
N |
模块名: |
|
|
4 |
table_name |
varchar |
64 |
0 |
Y |
N |
表名: |
|
|
5 |
page_title |
varchar |
255 |
0 |
Y |
N |
页面标题: |
|
|
6 |
path |
varchar |
255 |
0 |
Y |
N |
路由路径: |
|
|
7 |
position |
varchar |
32 |
0 |
Y |
N |
位置: |
|
|
8 |
mode |
varchar |
32 |
0 |
N |
N |
_blank |
跳转方式: |
|
9 |
add |
tinyint |
3 |
0 |
N |
N |
1 |
是否可增加: |
|
10 |
del |
tinyint |
3 |
0 |
N |
N |
1 |
是否可删除: |
|
11 |
set |
tinyint |
3 |
0 |
N |
N |
1 |
是否可修改: |
|
12 |
get |
tinyint |
3 |
0 |
N |
N |
1 |
是否可查看: |
|
13 |
field_add |
text |
65535 |
0 |
Y |
N |
添加字段: |
|
|
14 |
field_set |
text |
65535 |
0 |
Y |
N |
修改字段: |
|
|
15 |
field_get |
text |
65535 |
0 |
Y |
N |
查询字段: |
|
|
16 |
table_nav_name |
varchar |
500 |
0 |
Y |
N |
跨表导航名称: |
|
|
17 |
table_nav |
varchar |
500 |
0 |
Y |
N |
跨表导航: |
|
|
18 |
option |
text |
65535 |
0 |
Y |
N |
配置: |
|
|
19 |
create_time |
timestamp |
19 |
0 |
N |
N |
CURRENT_TIMESTAMP |
创建时间: |
|
20 |
update_time |
timestamp |
19 |
0 |
N |
N |
CURRENT_TIMESTAMP |
更新时间: |
|
编号 |
名称 |
数据类型 |
长度 |
小数位 |
允许空值 |
主键 |
默认值 |
说明 |
|
1 |
automotive_parts_id |
int |
10 |
0 |
N |
Y |
汽车零件ID |
|
|
2 |
wholesale_users |
int |
10 |
0 |
Y |
N |
0 |
批发用户 |
|
3 |
user_name |
varchar |
64 |
0 |
Y |
N |
用户姓名 |
|
|
4 |
video_presentation |
varchar |
255 |
0 |
Y |
N |
视频展示 |
|
|
5 |
praise_len |
int |
10 |
0 |
N |
N |
0 |
点赞数 |
|
6 |
cart_title |
varchar |
125 |
0 |
Y |
N |
标题:[0,125]用于产品html的标签中 |
|
|
7 |
cart_img |
text |
65535 |
0 |
Y |
N |
封面图:用于显示于产品列表页 |
|
|
8 |
cart_description |
varchar |
255 |
0 |
Y |
N |
描述:[0,255]用于产品规格描述 |
|
|
9 |
cart_price_ago |
double |
8 |
2 |
N |
N |
0.00 |
原价:[1] |
|
10 |
cart_price |
double |
8 |
2 |
N |
N |
0.00 |
卖价:[1] |
|
11 |
cart_inventory |
int |
10 |
0 |
N |
N |
0 |
商品库存 |
|
12 |
cart_type |
varchar |
64 |
0 |
N |
N |
未分类 |
商品分类: |
|
13 |
cart_content |
longtext |
2147483647 |
0 |
Y |
N |
正文:产品的主体内容 |
|
|
14 |
cart_img_1 |
text |
65535 |
0 |
Y |
N |
主图1: |
|
|
15 |
cart_img_2 |
text |
65535 |
0 |
Y |
N |
主图2: |
|
|
16 |
cart_img_3 |
text |
65535 |
0 |
Y |
N |
主图3: |
|
|
17 |
cart_img_4 |
text |
65535 |
0 |
Y |
N |
主图4: |
|
|
18 |
cart_img_5 |
text |
65535 |
0 |
Y |
N |
主图5: |
|
|
19 |
create_time |
datetime |
19 |
0 |
N |
N |
CURRENT_TIMESTAMP |
创建时间 |
|
20 |
update_time |
timestamp |
19 |
0 |
N |
N |
CURRENT_TIMESTAMP |
更新时间 |
|
编号 |
名称 |
数据类型 |
长度 |
小数位 |
允许空值 |
主键 |
默认值 |
说明 |
|
1 |
cart_id |
int |
10 |
0 |
N |
Y |
购物车ID: |
|
|
2 |
title |
varchar |
64 |
0 |
Y |
N |
标题: |
|
|
3 |
img |
varchar |
255 |
0 |
N |
N |
0 |
图片: |
|
4 |
user_id |
int |
10 |
0 |
N |
N |
0 |
用户ID: |
|
5 |
create_time |
timestamp |
19 |
0 |
N |
N |
CURRENT_TIMESTAMP |
创建时间: |
|
6 |
update_time |
timestamp |
19 |
0 |
N |
N |
CURRENT_TIMESTAMP |
更新时间: |
|
7 |
state |
int |
10 |
0 |
N |
N |
0 |
状态:使用中,已失效 |
|
8 |
price |
double |
9 |
2 |
N |
N |
0.00 |
单价: |
|
9 |
price_ago |
double |
9 |
2 |
N |
N |
0.00 |
原价: |
|
10 |
price_count |
double |
11 |
2 |
N |
N |
0.00 |
总价: |
|
11 |
num |
int |
10 |
0 |
N |
N |
1 |
数量: |
|
12 |
goods_id |
mediumint |
8 |
0 |
N |
N |
商品id:[0,8388607] |
|
|
13 |
type |
varchar |
64 |
0 |
N |
N |
未分类 |
商品分类: |
|
14 |
description |
varchar |
255 |
0 |
Y |
N |
描述:[0,255]用于产品规格描述 |
|
编号 |
名称 |
数据类型 |
长度 |
小数位 |
允许空值 |
主键 |
默认值 |
说明 |
|
1 |
chat_messages_id |
int |
10 |
0 |
N |
Y |
聊天信息ID |
|
|
2 |
sales_users |
int |
10 |
0 |
Y |
N |
0 |
销售用户 |
|
3 |
sales_name |
varchar |
64 |
0 |
Y |
N |
销售姓名 |
|
|
4 |
wholesale_users |
int |
10 |
0 |
Y |
N |
0 |
批发用户 |
|
5 |
user_name |
varchar |
64 |
0 |
Y |
N |
用户姓名 |
|
|
6 |
sales_information |
text |
65535 |
0 |
Y |
N |
销售信息 |
|
|
7 |
wholesale_response |
text |
65535 |
0 |
Y |
N |
批发回复 |
|
|
8 |
create_time |
datetime |
19 |
0 |
N |
N |
CURRENT_TIMESTAMP |
创建时间 |
|
9 |
update_time |
timestamp |
19 |
0 |
N |
N |
CURRENT_TIMESTAMP |
更新时间 |
|
编号 |
名称 |
数据类型 |
长度 |
小数位 |
允许空值 |
主键 |
默认值 |
说明 |
|
1 |
collect_id |
int |
10 |
0 |
N |
Y |
收藏ID: |
|
|
2 |
user_id |
int |
10 |
0 |
N |
N |
0 |
收藏人ID: |
|
3 |
source_table |
varchar |
255 |
0 |
Y |
N |
来源表: |
|
|
4 |
source_field |
varchar |
255 |
0 |
Y |
N |
来源字段: |
|
|
5 |
source_id |
int |
10 |
0 |
N |
N |
0 |
来源ID: |
|
6 |
title |
varchar |
255 |
0 |
Y |
N |
标题: |
|
|
7 |
img |
varchar |
255 |
0 |
Y |
N |
封面: |
|
|
8 |
create_time |
timestamp |
19 |
0 |
N |
N |
CURRENT_TIMESTAMP |
创建时间: |
|
9 |
update_time |
timestamp |
19 |
0 |
N |
N |
CURRENT_TIMESTAMP |
更新时间: |
|
编号 |
名称 |
数据类型 |
长度 |
小数位 |
允许空值 |
主键 |
默认值 |
说明 |
|
1 |
comment_id |
int |
10 |
0 |
N |
Y |
评论ID: |
|
|
2 |
user_id |
int |
10 |
0 |
N |
N |
0 |
评论人ID: |
|
3 |
reply_to_id |
int |
10 |
0 |
N |
N |
0 |
回复评论ID:空为0 |
|
4 |
content |
longtext |
2147483647 |
0 |
Y |
N |
内容: |
|
|
5 |
nickname |
varchar |
255 |
0 |
Y |
N |
昵称: |
|
|
6 |
avatar |
varchar |
255 |
0 |
Y |
N |
头像地址:[0,255] |
|
|
7 |
create_time |
timestamp |
19 |
0 |
N |
N |
CURRENT_TIMESTAMP |
创建时间: |
|
8 |
update_time |
timestamp |
19 |
0 |
N |
N |
CURRENT_TIMESTAMP |
更新时间: |
|
9 |
source_table |
varchar |
255 |
0 |
Y |
N |
来源表: |
|
|
10 |
source_field |
varchar |
255 |
0 |
Y |
N |
来源字段: |
|
|
11 |
source_id |
int |
10 |
0 |
N |
N |
0 |
来源ID: |
|
编号 |
名称 |
数据类型 |
长度 |
小数位 |
允许空值 |
主键 |
默认值 |
说明 |
|
1 |
goods_id |
mediumint |
8 |
0 |
N |
Y |
产品id:[0,8388607] |
|
|
2 |
title |
varchar |
125 |
0 |
Y |
N |
标题:[0,125]用于产品和html的<title>标签中 |
|
|
3 |
img |
text |
65535 |
0 |
Y |
N |
封面图:用于显示于产品列表页 |
|
|
4 |
description |
varchar |
255 |
0 |
Y |
N |
描述:[0,255]用于产品规格描述 |
|
|
5 |
price_ago |
double |
8 |
2 |
N |
N |
0.00 |
原价:[1] |
|
6 |
price |
double |
8 |
2 |
N |
N |
0.00 |
卖价:[1] |
|
7 |
sales |
int |
10 |
0 |
N |
N |
0 |
销量:[0,1000000000] |
|
8 |
inventory |
int |
10 |
0 |
N |
N |
0 |
商品库存 |
|
9 |
type |
varchar |
64 |
0 |
N |
N |
商品分类: |
|
|
10 |
hits |
int |
10 |
0 |
N |
N |
0 |
点击量:[0,1000000000]访问这篇产品的人次 |
|
11 |
content |
longtext |
2147483647 |
0 |
Y |
N |
正文:产品的主体内容 |
|
|
12 |
img_1 |
text |
65535 |
0 |
Y |
N |
主图1: |
|
|
13 |
img_2 |
text |
65535 |
0 |
Y |
N |
主图2: |
|
|
14 |
img_3 |
text |
65535 |
0 |
Y |
N |
主图3: |
|
|
15 |
img_4 |
text |
65535 |
0 |
Y |
N |
主图4: |
|
|
16 |
img_5 |
text |
65535 |
0 |
Y |
N |
主图5: |
|
|
17 |
create_time |
timestamp |
19 |
0 |
N |
N |
CURRENT_TIMESTAMP |
创建时间: |
|
18 |
update_time |
timestamp |
19 |
0 |
N |
N |
CURRENT_TIMESTAMP |
更新时间: |
|
19 |
customize_field |
text |
65535 |
0 |
Y |
N |
自定义字段 |
|
|
20 |
source_table |
varchar |
255 |
0 |
Y |
N |
来源表: |
|
|
21 |
source_field |
varchar |
255 |
0 |
Y |
N |
来源字段: |
|
|
22 |
source_id |
int |
10 |
0 |
N |
N |
0 |
来源ID: |
|
23 |
user_id |
int |
10 |
0 |
Y |
N |
0 |
添加人 |
|
编号 |
名称 |
数据类型 |
长度 |
小数位 |
允许空值 |
主键 |
默认值 |
说明 |
|
1 |
type_id |
int |
10 |
0 |
N |
Y |
商品分类ID: |
|
|
2 |
father_id |
smallint |
5 |
0 |
N |
N |
0 |
上级分类ID:[0,32767] |
|
3 |
name |
varchar |
255 |
0 |
Y |
N |
商品名称: |
|
|
4 |
desc |
varchar |
255 |
0 |
Y |
N |
描述: |
|
|
5 |
icon |
varchar |
255 |
0 |
Y |
N |
图标: |
|
|
6 |
source_table |
varchar |
255 |
0 |
Y |
N |
来源表: |
|
|
7 |
source_field |
varchar |
255 |
0 |
Y |
N |
来源字段: |
|
|
8 |
create_time |
timestamp |
19 |
0 |
N |
N |
CURRENT_TIMESTAMP |
创建时间: |
|
9 |
update_time |
timestamp |
19 |
0 |
N |
N |
CURRENT_TIMESTAMP |
更新时间: |
|
编号 |
名称 |
数据类型 |
长度 |
小数位 |
允许空值 |
主键 |
默认值 |
说明 |
|
1 |
hits_id |
int |
10 |
0 |
N |
Y |
点赞ID: |
|
|
2 |
user_id |
int |
10 |
0 |
N |
N |
0 |
点赞人: |
|
3 |
create_time |
timestamp |
19 |
0 |
N |
N |
CURRENT_TIMESTAMP |
创建时间: |
|
4 |
update_time |
timestamp |
19 |
0 |
N |
N |
CURRENT_TIMESTAMP |
更新时间: |
|
5 |
source_table |
varchar |
255 |
0 |
Y |
N |
来源表: |
|
|
6 |
source_field |
varchar |
255 |
0 |
Y |
N |
来源字段: |
|
|
7 |
source_id |
int |
10 |
0 |
N |
N |
0 |
来源ID: |
|
编号 |
名称 |
数据类型 |
长度 |
小数位 |
允许空值 |
主键 |
默认值 |
说明 |
|
1 |
logistics_delivery_id |
int |
10 |
0 |
N |
Y |
物流配送ID |
|
|
2 |
order_number |
varchar |
64 |
0 |
Y |
N |
订单号 |
|
|
3 |
product_name |
varchar |
64 |
0 |
Y |
N |
商品名称 |
|
|
4 |
purchase_quantity |
varchar |
64 |
0 |
Y |
N |
购买数量 |
|
|
5 |
total_transaction_amount |
double |
11 |
2 |
Y |
N |
0.00 |
交易总额 |
|
6 |
the_date_of_issuance |
date |
10 |
0 |
Y |
N |
发货日期 |
|
|
7 |
delivery_number |
varchar |
30 |
0 |
Y |
N |
配送订单 |
|
|
8 |
ordinary_users |
int |
10 |
0 |
Y |
N |
0 |
普通用户 |
|
9 |
shipping_address |
varchar |
64 |
0 |
Y |
N |
收货地址 |
|
|
10 |
delivery_status |
varchar |
64 |
0 |
Y |
N |
配送状态 |
|
|
11 |
signing_status |
varchar |
64 |
0 |
Y |
N |
签收状态 |
|
|
12 |
recommend |
int |
10 |
0 |
N |
N |
0 |
智能推荐 |
|
13 |
contact_name |
varchar |
255 |
0 |
Y |
N |
联系人名字 |
|
|
14 |
merchant_id |
int |
10 |
0 |
Y |
N |
商家id |
|
|
15 |
create_time |
datetime |
19 |
0 |
N |
N |
CURRENT_TIMESTAMP |
创建时间 |
|
16 |
update_time |
timestamp |
19 |
0 |
N |
N |
CURRENT_TIMESTAMP |
更新时间 |
|
编号 |
名称 |
数据类型 |
长度 |
小数位 |
允许空值 |
主键 |
默认值 |
说明 |
|
1 |
notice_id |
mediumint |
8 |
0 |
N |
Y |
公告id: |
|
|
2 |
title |
varchar |
125 |
0 |
N |
N |
标题: |
|
|
3 |
content |
longtext |
2147483647 |
0 |
Y |
N |
正文: |
|
|
4 |
create_time |
timestamp |
19 |
0 |
N |
N |
CURRENT_TIMESTAMP |
创建时间: |
|
5 |
update_time |
timestamp |
19 |
0 |
N |
N |
CURRENT_TIMESTAMP |
更新时间: |
|
编号 |
名称 |
数据类型 |
长度 |
小数位 |
允许空值 |
主键 |
默认值 |
说明 |
|
1 |
order_id |
int |
10 |
0 |
N |
Y |
订单ID: |
|
|
2 |
order_number |
varchar |
64 |
0 |
Y |
N |
订单号: |
|
|
3 |
goods_id |
mediumint |
8 |
0 |
N |
N |
商品id:[0,8388607] |
|
|
4 |
title |
varchar |
32 |
0 |
Y |
N |
商品标题: |
|
|
5 |
img |
varchar |
255 |
0 |
Y |
N |
商品图片: |
|
|
6 |
price |
double |
10 |
2 |
N |
N |
0.00 |
价格: |
|
7 |
price_ago |
double |
10 |
2 |
N |
N |
0.00 |
原价: |
|
8 |
num |
int |
10 |
0 |
N |
N |
1 |
数量: |
|
9 |
price_count |
double |
8 |
2 |
N |
N |
0.00 |
总价: |
|
10 |
norms |
varchar |
255 |
0 |
Y |
N |
规格: |
|
|
11 |
type |
varchar |
64 |
0 |
N |
N |
未分类 |
商品分类: |
|
12 |
contact_name |
varchar |
32 |
0 |
Y |
N |
联系人姓名: |
|
|
13 |
contact_email |
varchar |
125 |
0 |
Y |
N |
联系人邮箱: |
|
|
14 |
contact_phone |
varchar |
11 |
0 |
Y |
N |
联系人手机: |
|
|
15 |
contact_address |
varchar |
255 |
0 |
Y |
N |
收件地址: |
|
|
16 |
postal_code |
varchar |
9 |
0 |
Y |
N |
邮政编码: |
|
|
17 |
user_id |
int |
10 |
0 |
N |
N |
0 |
买家ID: |
|
18 |
merchant_id |
mediumint |
8 |
0 |
N |
N |
0 |
商家ID: |
|
19 |
create_time |
timestamp |
19 |
0 |
N |
N |
CURRENT_TIMESTAMP |
创建时间: |
|
20 |
update_time |
timestamp |
19 |
0 |
N |
N |
CURRENT_TIMESTAMP |
更新时间: |
|
21 |
description |
varchar |
255 |
0 |
Y |
N |
描述:[0,255]用于产品规格描述 |
|
|
22 |
state |
varchar |
16 |
0 |
N |
N |
待付款 |
订单状态:待付款,待发货,待签收,已签收,待退款,已退款,已拒绝,已完成 |
|
23 |
remark |
text |
65535 |
0 |
Y |
N |
订单备注 |
|
|
24 |
delivery_state |
varchar |
16 |
0 |
Y |
N |
未配送 |
发货状态:未配送,已配送 |
|
25 |
vip_discount |
double |
11 |
2 |
Y |
N |
0.00 |
折扣 |
|
编号 |
名称 |
数据类型 |
长度 |
小数位 |
允许空值 |
主键 |
默认值 |
说明 |
|
1 |
praise_id |
int |
10 |
0 |
N |
Y |
点赞ID: |
|
|
2 |
user_id |
int |
10 |
0 |
N |
N |
0 |
点赞人: |
|
3 |
create_time |
timestamp |
19 |
0 |
N |
N |
CURRENT_TIMESTAMP |
创建时间: |
|
4 |
update_time |
timestamp |
19 |
0 |
N |
N |
CURRENT_TIMESTAMP |
更新时间: |
|
5 |
source_table |
varchar |
255 |
0 |
Y |
N |
来源表: |
|
|
6 |
source_field |
varchar |
255 |
0 |
Y |
N |
来源字段: |
|
|
7 |
source_id |
int |
10 |
0 |
N |
N |
0 |
来源ID: |
|
8 |
status |
bit |
1 |
0 |
N |
N |
1 |
点赞状态:1为点赞,0已取消 |
|
编号 |
名称 |
数据类型 |
长度 |
小数位 |
允许空值 |
主键 |
默认值 |
说明 |
|
1 |
sales_users_id |
int |
10 |
0 |
N |
Y |
销售用户ID |
|
|
2 |
sales_name |
varchar |
64 |
0 |
Y |
N |
销售姓名 |
|
|
3 |
sales_gender |
varchar |
64 |
0 |
Y |
N |
销售性别 |
|
|
4 |
contact_phone_number |
varchar |
16 |
0 |
Y |
N |
联系电话 |
|
|
5 |
examine_state |
varchar |
16 |
0 |
N |
N |
已通过 |
审核状态 |
|
6 |
user_id |
int |
10 |
0 |
N |
N |
0 |
用户ID |
|
7 |
create_time |
datetime |
19 |
0 |
N |
N |
CURRENT_TIMESTAMP |
创建时间 |
|
8 |
update_time |
timestamp |
19 |
0 |
N |
N |
CURRENT_TIMESTAMP |
更新时间 |
|
编号 |
名称 |
数据类型 |
长度 |
小数位 |
允许空值 |
主键 |
默认值 |
说明 |
|
1 |
slides_id |
int |
10 |
0 |
N |
Y |
轮播图ID: |
|
|
2 |
title |
varchar |
64 |
0 |
Y |
N |
标题: |
|
|
3 |
content |
varchar |
255 |
0 |
Y |
N |
内容: |
|
|
4 |
url |
varchar |
255 |
0 |
Y |
N |
链接: |
|
|
5 |
img |
varchar |
255 |
0 |
Y |
N |
轮播图: |
|
|
6 |
hits |
int |
10 |
0 |
N |
N |
0 |
点击量: |
|
7 |
create_time |
timestamp |
19 |
0 |
N |
N |
CURRENT_TIMESTAMP |
创建时间: |
|
8 |
update_time |
timestamp |
19 |
0 |
N |
N |
CURRENT_TIMESTAMP |
更新时间: |
|
编号 |
名称 |
数据类型 |
长度 |
小数位 |
允许空值 |
主键 |
默认值 |
说明 |
|
1 |
upload_id |
int |
10 |
0 |
N |
Y |
上传ID |
|
|
2 |
name |
varchar |
64 |
0 |
Y |
N |
文件名 |
|
|
3 |
path |
varchar |
255 |
0 |
Y |
N |
访问路径 |
|
|
4 |
file |
varchar |
255 |
0 |
Y |
N |
文件路径 |
|
|
5 |
display |
varchar |
255 |
0 |
Y |
N |
显示顺序 |
|
|
6 |
father_id |
int |
10 |
0 |
Y |
N |
0 |
父级ID |
|
7 |
dir |
varchar |
255 |
0 |
Y |
N |
文件夹 |
|
|
8 |
type |
varchar |
32 |
0 |
Y |
N |
文件类型 |
|
编号 |
名称 |
数据类型 |
长度 |
小数位 |
允许空值 |
主键 |
默认值 |
说明 |
|
1 |
user_id |
mediumint |
8 |
0 |
N |
Y |
用户ID:[0,8388607]用户获取其他与用户相关的数据 |
|
|
2 |
state |
smallint |
5 |
0 |
N |
N |
1 |
账户状态:[0,10](1可用|2异常|3已冻结|4已注销) |
|
3 |
user_group |
varchar |
32 |
0 |
Y |
N |
所在用户组:[0,32767]决定用户身份和权限 |
|
|
4 |
login_time |
timestamp |
19 |
0 |
N |
N |
CURRENT_TIMESTAMP |
上次登录时间: |
|
5 |
phone |
varchar |
11 |
0 |
Y |
N |
手机号码:[0,11]用户的手机号码,用于找回密码时或登录时 |
|
|
6 |
phone_state |
smallint |
5 |
0 |
N |
N |
0 |
手机认证:[0,1](0未认证|1审核中|2已认证) |
|
7 |
username |
varchar |
16 |
0 |
N |
N |
用户名:[0,16]用户登录时所用的账户名称 |
|
|
8 |
nickname |
varchar |
16 |
0 |
Y |
N |
昵称:[0,16] |
|
|
9 |
password |
varchar |
64 |
0 |
N |
N |
密码:[0,32]用户登录所需的密码,由6-16位数字或英文组成 |
|
|
10 |
|
varchar |
64 |
0 |
Y |
N |
邮箱:[0,64]用户的邮箱,用于找回密码时或登录时 |
|
|
11 |
email_state |
smallint |
5 |
0 |
N |
N |
0 |
邮箱认证:[0,1](0未认证|1审核中|2已认证) |
|
12 |
avatar |
varchar |
255 |
0 |
Y |
N |
头像地址:[0,255] |
|
|
13 |
open_id |
varchar |
255 |
0 |
Y |
N |
针对获取用户信息字段 |
|
|
14 |
create_time |
timestamp |
19 |
0 |
N |
N |
CURRENT_TIMESTAMP |
创建时间: |
|
15 |
vip_level |
varchar |
255 |
0 |
Y |
N |
会员等级 |
|
|
16 |
vip_discount |
double |
11 |
2 |
Y |
N |
0.00 |
会员折扣 |
|
编号 |
名称 |
数据类型 |
长度 |
小数位 |
允许空值 |
主键 |
默认值 |
说明 |
|
1 |
group_id |
mediumint |
8 |
0 |
N |
Y |
用户组ID:[0,8388607] |
|
|
2 |
display |
smallint |
5 |
0 |
N |
N |
100 |
显示顺序:[0,1000] |
|
3 |
name |
varchar |
16 |
0 |
N |
N |
名称:[0,16] |
|
|
4 |
description |
varchar |
255 |
0 |
Y |
N |
描述:[0,255]描述该用户组的特点或权限范围 |
|
|
5 |
source_table |
varchar |
255 |
0 |
Y |
N |
来源表: |
|
|
6 |
source_field |
varchar |
255 |
0 |
Y |
N |
来源字段: |
|
|
7 |
source_id |
int |
10 |
0 |
N |
N |
0 |
来源ID: |
|
8 |
register |
smallint |
5 |
0 |
Y |
N |
0 |
注册位置: |
|
9 |
create_time |
timestamp |
19 |
0 |
N |
N |
CURRENT_TIMESTAMP |
创建时间: |
|
10 |
update_time |
timestamp |
19 |
0 |
N |
N |
CURRENT_TIMESTAMP |
更新时间: |
|
编号 |
名称 |
数据类型 |
长度 |
小数位 |
允许空值 |
主键 |
默认值 |
说明 |
|
1 |
wholesale_users_id |
int |
10 |
0 |
N |
Y |
批发用户ID |
|
|
2 |
user_name |
varchar |
64 |
0 |
Y |
N |
用户姓名 |
|
|
3 |
user_gender |
varchar |
64 |
0 |
Y |
N |
用户性别 |
|
|
4 |
contact_phone_number |
varchar |
16 |
0 |
Y |
N |
联系电话 |
|
|
5 |
examine_state |
varchar |
16 |
0 |
N |
N |
已通过 |
审核状态 |
|
6 |
user_id |
int |
10 |
0 |
N |
N |
0 |
用户ID |
|
7 |
create_time |
datetime |
19 |
0 |
N |
N |
CURRENT_TIMESTAMP |
创建时间 |
|
8 |
update_time |
timestamp |
19 |
0 |
N |
N |
CURRENT_TIMESTAMP |
更新时间 |
4 汽车零部件资源管理分配系统详细设计与实现
4.1前台用户功能模块
4.1.1 前台首页界面
游客或者用户进入系统后可以查看系统的信息,包含了程序的标题、导航栏、轮播图、通知公告、汽车零件等,其主界面展示如下图4-1所示。
图4-1 前台首页界面图
4.1.2注册界面
游客可以查看系统信息,也有注册成为用户的权限。其用注册流程图如图4-2所示,注册界面展示如下图4-3所示。
图4-2注册流程图
图4-3 用户注册界面图
4.1.3登录界面
当用户注册成功以后就成为了前台正式用户,前台用户可以通过前台的登录页面登录到系统当中,用户登录流程如图4-4所示,登录界面如下图4-5所示。
图4-4 登录流程图
图4-5用户登录界面图
4.1.4 通知公告界面
用户可以查看通知公告信息,可以查看某一公告的详情,其界面如下图4-6所示。
图4-6通知公告界面图
4.1.5 新闻资讯界面
当用户点击汽车零部件资源管理分配系统中导航栏上的“新闻资讯”后将会进入到该“新闻资讯”列表的界面,然后选择想要看的资讯信息,点击进入到详细界面,在详细界面可以收藏+赞+评论等操作。新闻资讯详情界面如下图4-7所示。
图4-7新闻资讯界面图
4.1.6 汽车零件详情界面
游客只能查看汽车零件的商品,不能进行任何购买、评论操作,销售用户可以选择自己需要的商品,加入购物车、立即购买、收藏、评论。
加入购物车流程图如图4-8所示。
图4-8加入购物车流程图
购买工作流程图如图4-9所示。

图4-9 购买工作流程图
汽车零件详情展示页面如图4-10所示。
图4-10 汽车零件详情展示界面图
4.1.7个人中心界面
当用户点击右上角“账号名”这个按钮,会出现子菜单,点击“个人中心”可以对个人首页、聊天信息、订单配送和自己收藏的信息进行设置管理。用户个人中心界面如下图4-11所示。
图4-11 用户个人中心界面图
4.2 批发用户功能模块
批发用户通过管理员在后台添加的账号信息进行登录系统,登录之后可以对个人信息、密码和聊天信息管理、商城管理(汽车零件、订单列表、订单配送)进行管理,批发用户只可查看自己的订单信息。批发用户回复聊天信息界面如下图4-12所示。
图4-12 批发用户回复聊天信息界面图
批发用户添加汽车零件信息界面如下图4-13所示。
图4-13 批发用户添加汽车零件信息界面图
4.3 管理员功能模块
4.3.1系统用户管理界面
在后台系统用户管理中,主要是管理注册的销售用户和批发用户、管理员用户,管理员拥有对所有用户管控的功能。系统用户管理界面如下图4-14所示。
图4-14 系统用户管理界面图
4.3.2 资源管理界面
管理员点击“资源管理”可以对前台展示的新闻资讯以及资讯所属分类进行管理,新闻资源管理的界面如下图4-15所示。
图4-15新闻资源管理界面图
4.3.3 汽车零件界面
管理员拥有对汽车零件中的商品进行添加、修改、删除、管理评论的功能,汽车零件管理界面如下图4-16所示。
图4-16汽车零件管理界面图
4.3.4 分类列表界面
管理员拥有对商品的分类增删改查的功能,分类列表界面如下图4-17所示。
图4-17分类列表界面图
5系统的测试
5.1测试的目的
一个系统测试的目的就是检验系统在真正的工作环境、条件下是不是能够正常运行,各种功能能不能符合设计的要求,通过测试发现系统当中存在的一些潜在的错误,然后对系统进行改进,使得系统最终以完美的形式展现给用户,提高用户使用过程中的体验度,真正达到项目的实际使用目的。
5.2 系统测试用例
系统测试包括:管理员登录功能测试、汽车零件查看功能测试、商品添加功能测试、加入购物车购买功能测试,如表5-1、5-2、5-3、5-4所示:
表5-1 管理员登录功能测试表
|
测试名称 |
测试功能 |
操作过程 |
预期结果 |
测试结果 |
|
登录模块测试 |
登录成功的情况 |
管理员可以通过浏览器进入到汽车零部件资源管理分配系统后台登录界面,输入用户名:admin和密码admin后,点击“登录”按钮。 |
成功登录到管理员管理的界面 |
正确 |
|
登录模块测试 |
登录失败的情况 |
管理员可以通过浏览器进入到汽车零部件资源管理分配系统后台登录界面,输入用户名:admin和密码111后,点击“登录”按钮。 |
系统提示“用户名和密码不匹配” |
正确 |
汽车零件查看功能测试:
表5-2 汽车零件查看功能测试表
|
测试名称 |
测试功能 |
操作过程 |
预期结果 |
测试结果 |
|
查询汽车零件功能测试 |
查询成功的情况 |
用户在导航栏中点击“汽车零件”,输入关键词查询商品,输入的商品在系统中存在,显示查询汽车零件 |
查询成功 |
正确 |
商城管理中商品添加界面测试:
表5-3 管理员添加商品界面测试表
|
测试名称 |
测试功能 |
操作过程 |
预期结果 |
测试结果 |
|
商品添加模块测试 |
商品添加成功的情况 |
在“商城管理”菜单中点击“汽车零件”会显示出所有的汽车零件,点击“添加”,输入汽车零件,输入正确的信息后,点击“提交”按钮。 |
提示添加成功 |
正确 |
|
商品添加模块测试 |
商品添加失败的情况 |
在“商城管理”菜单中点击“汽车零件”会显示出所有的汽车零件,点击“添加”,不输入标题,其他信息正常填写后,点击“提交”按钮。 |
提示“添加失败,标题不能为空” |
正确 |
加入购物车购买功能测试:
表5-4 加入购物车购买功能测试表
|
测试名称 |
测试功能 |
操作过程 |
预期结果 |
测试结果 |
|
加入购物车购买功能测试 |
购买的情况 |
用户在汽车零件的商品详情页面,点击“加入购物车”,然后在“我的购物车”界面,点击“购买”按钮,进行付款。 |
加入购物车购买成功 |
正确 |
5.3 系统测试结果
本次开发的系统是一个汽车零部件零售在线交易、购买的系统,主要功能就是实现用户的在线购买,通过对管理员登录、商品查询、商品添加、加入购物车购买这几个方面的测试可以看出系统的基本可以实现用户对商品购买的功能,而且在测试的过程中也对界面的展示进行了查看,发现界面并没有出现扭曲、混乱等情况,能够满足用户的需求,系统运行良好,是可以进行投入使用的。
6 结论
经过了几个月的努力,本汽车零部件资源管理分配系统终于完成了,虽然在校期间也开发过一些小型的系统,但是都是在老师的讲解以及辅助下完成的,没有经历过开发之前的需求分析、系统分析,都是直接从系统设计开始的,因此本次开发的汽车零部件资源管理分配系统对我意义重大。
在开发系统最初,首先对用户购买汽车零部件、商家销售汽车零部件方面的需求进行调研,了解对于用户以及商家来说,开发的系统需要实现哪些功能才能满足使用者的需求,对需求进行分析;其次选择自己比较熟悉的Java语言,MySQL数据库,使用SpringBoot框架来设计开发,通过知网库、学校图书馆等地方查阅、学习这些技术,掌握编程的思想和方法,然后就是对系统进行分析,从系统开发的可行性、系统实现的功能、系统应该具备的性能以及系统的操作流程方面,对系统进行全方位的分析,确定系统的最终功能,从而对系统的功能和数据库进行设计,最后就是系统的实现以及对实现的功能的测试,确保系统能够稳定的运行。
在开发的过程中暴露出了自己的很多问题,比如前期的准备还是不够充分,不能完全掌握其操作流程;在开发过程中对SpringBoot的编程掌握的还不够熟练以及对系统的环境配置上还存在很多问题,经常会导致项目在运行的时候出现错误。学无止境,通过一边查阅资料一边向导师请教,慢慢的解决了这些问题,在以后的学习、工作者我会更加严谨,通过本项目的开发,我将会受益终生!
参考文献
[1]Huang Q ,Dastane O ,Cham H T , et al.Is ‘she’ more impulsive (to pleasure) than ‘him’ during livestream e-commerce shopping?[J].Journal of Retailing and Consumer Services,2024,78103707-.
[2]苗雨萌.长春市君昊汽配商行发展战略研究[D].吉林大学,2023.DOI:10.27162/d.cnki.gjlin.2023.007451.
[3]陈伟.物流管理信息系统在汽配电子商务中的应用[J].港口科技,2023,(08):38-42+47.
[4]潘涛,王柳,董冉冉.基于Vue.js框架的网上商城管理系统的设计与实现[J].科技与创新,2023,(13):8-10.DOI:10.15913/j.cnki.kjycx.2023.13.003.
[5]袁红阳.A汽配公司供应商管理优化研究[D].广西大学,2023.DOI:10.27034/d.cnki.ggxiu.2023.000758.
[6]Sungjoon Y ,DongJoo L ,Louis A .Influence of Online Information Quality and Website Design on User Shopping Loyalty in the Context of E-Commerce Shopping Malls in Korea[J].Sustainability,2023,15(4):3560-3560.
[7]王亚东,李晓霞,陈强强等.基于SpringBoot的需求发布平台设计[J].信息与电脑(理论版),2023,35(01):105-107.
[8]陈小燕,朱映辉,余晓春.基于SpringBoot+Vue的好农物商城的设计与实现[J].电脑知识与技术,2022,18(22):37-39.DOI:10.14004/j.cnki.ckt.2022.1535.
[9]宋爽.基于微服务架构的高并发电商系统设计与实现[D].天津科技大学,2022.DOI:10.27359/d.cnki.gtqgu.2022.000549.
[10]李宜镓.基于SpringBoot的电商秒杀系统的设计与实现[D].西安电子科技大学,2022.DOI:10.27389/d.cnki.gxadu.2022.002507.
[11]田松涛,段元梅.基于SpringBoot的线上商城平台设计[J].无线互联科技,2022,19(01):56-57.
[12]查贵勇,左星坤,赵宸霏.我国汽配行业发展态势、存在问题及对策分析[J].产业创新研究,2021,(20):1-5+8.
[13]陈晗.基于RESTful的网上商城的设计与实现[D].首都经济贸易大学,2021.DOI:10.27338/d.cnki.gsjmu.2021.000739.
[14]张胜强,曹磊,刘宁等.汽车检测商城的架构功能设计[J].软件,2021,42(06):165-167+173.
[15]陈继磊.高并发下购物平台系统的设计与实现[D].山东大学,2021.DOI:10.27272/d.cnki.gshdu.2021.004359.
[16]Han Y .Advantages of Self-Logistics and the Third-Party Logistics -Taking Jingdong Electronic Shopping Mall as an Example[J].E3S Web of Conferences,2021,23503008-.
[17]Li T X ,Rahman A ,Connie G , et al.Examining customers' perception of electronic shopping mall's e-service quality[J].International Journal of Services, Economics and Management,2020,11(4):
[18]张媛.基于数据挖掘的汽车新零售模式研究[D].对外经济贸易大学,2020.DOI:10.27015/d.cnki.gdwju.2020.000717.
[19]潘建亮.中国汽配电商销售关系研究[J].汽车工业研究,2020,(02):47-49.
[20]贾志勇.基于SpringBoot的下沉市场交易平台的设计与实现[D].安徽大学,2020.DOI:10.26917/d.cnki.ganhu.2020.000917.
致谢
“致谢”意味着论文的结束,也意味着自己的毕业设计顺利完成,同时也代表了自己的大学生涯即将结束,我即将要离开自己敬爱的老师和亲爱的同学们,在这里我首先要感谢的就是所有的老师,“春满江山绿满园,桃李争春露笑颜,东西南北春常在,唯有师恩留心间”,他们无论在我的学业还是在我的生活上付出了所有,对我谆谆教诲;其次我要感谢我的指导老师,他在我的整个毕业设计当中起着引导作用,每当我有困难的时候,他总会第一时间帮助我,引导我进行解决问题,而不是直接告诉我答案,“授人以鱼不如授人以渔”,指导老师的这种做法让我受益终生,同时我也从指导老师身上学习到了许多的开发技巧以及检验,这对我今后的开发起着十分重要的作用;再次,我需要感谢我的同学、室友,他们不仅仅在毕业设计上给我许多帮助意见,在大学同窗四年,他们给过我的帮助太多了,我对他们有太多的不舍,无法用言语表示,我相信在以后的人生道路上只要想到他们,我心里就会很温暖,这种友情是任何感情替代不了的;最后我还要感谢家人,感谢自己,感谢家人对我的支持,感谢自己在学业上的坚持,我相信我以后的道路会越来越好。
免费领取源码,请关注+点赞+收藏+私信博主,谢谢!
更多推荐





所有评论(0)